|
apenso5_vol_10_p2269 |
 |
|
2270 to 2772-Missing pages |
|
apenso5_vol_10_p2270 |
|
MISSING PAGE |
|
apenso5_vol_10_p2271 |
|
MISSING PAGE |
|
apenso5_vol_10_p2272 |
|
MISSING PAGE |
|
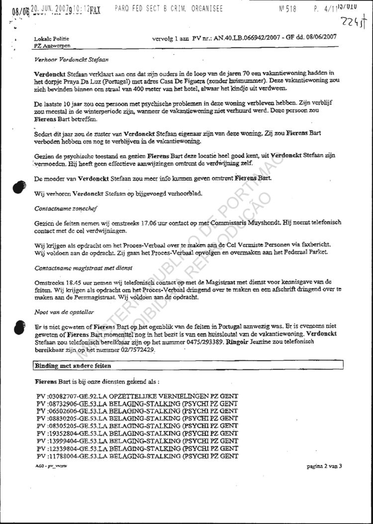
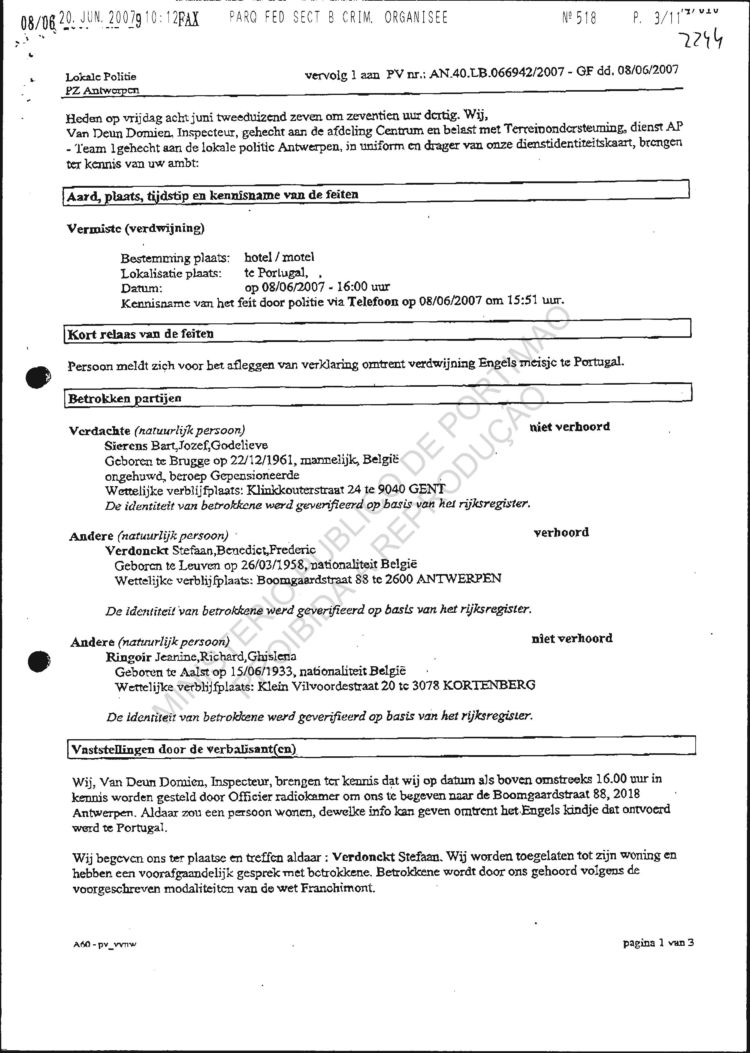
2273-Officer's report re
sighting in Cornwall |
|
apenso5_vol_10_p2273 |
 |
|
2274-Email with jpg
attachments |
|
apenso5_vol_10_p2274 |
 |
|
2275 to 2280-jpg pictures |
|
apenso5_vol_10_p2275 |
 |
|
apenso5_vol_10_p2276 |
 |
|
apenso5_vol_10_p2277 |
 |
|
apenso5_vol_10_p2278 |
 |
|
apenso5_vol_10_p2279 |
 |
|
apenso5_vol_10_p2280 |
 |
|
2281-Copy of page 2274 |
|
apenso5_vol_10_p2281 |
 |
|
2282-Picture |
|
apenso5_vol_10_p2282 |
 |
|
2283 to 2285-Missing pages |
|
apenso5_vol_10_p2283 |
|
MISSING PAGE |
|
apenso5_vol_10_p2284 |
|
MISSING PAGE |
|
apenso5_vol_10_p2285 |
|
MISSING PAGE |
|
2286 to 2287-Documents re
sighting in Marseille
airport |
|
apenso5_vol_10_p2286 |
 |
|
apenso5_vol_10_p2287 |
 |
|
2288-Service information re
sighting in Rock's Bar in
Albufeira |
|
apenso5_vol_10_p2288 |
 |
|
apenso5_vol_10_p2288a |
 |
|
2289-Email re French
national's sighting of
Madeleine |
|
apenso5_vol_10_p2289 |
 |
|
2290 to 2297-Police report
re French national's
sighting |
|
apenso5_vol_10_p2290 |
 |
|
apenso5_vol_10_p2291 |
 |
|
apenso5_vol_10_p2292 |
 |
|
apenso5_vol_10_p2293 |
 |
|
apenso5_vol_10_p2294 |
 |
|
apenso5_vol_10_p2295 |
 |
|
apenso5_vol_10_p2296 |
 |
|
apenso5_vol_10_p2297 |
 |
|
2298 to 2299-Missing pages |
|
apenso5_vol_10_p2298 |
|
MISSING PAGE |
|
apenso5_vol_10_p2299 |
|
MISSING PAGE |
|
2300-Email re sighting in
France |
|
apenso5_vol_10_p2300 |
 |
|
2301 to 2302-Missing pages |
|
apenso5_vol_10_p2301 |
|
MISSING PAGE |
|
apenso5_vol_10_p2302 |
|
MISSING PAGE |
|
2303-SOCA
enquiry form re sighting in Perigueux,
France |
|
apenso5_vol_10_p2303 |
 |
|
2304-Missing page |
|
apenso5_vol_10_p2304 |
|
MISSING PAGE |
|
2305-Email re sighting in
Johannesburg, SA |
|
apenso5_vol_10_p2305 |
 |
|
2306-SOCA enquiry form re
sighting in Johannesburg |
|
apenso5_vol_10_p2306 |
 |
|
2307-Email re South African
sighting |
|
apenso5_vol_10_p2307 |
 |
|
2308-Copy of page 2306 |
|
apenso5_vol_10_p2308 |
 |
|
2309-Missing page |
|
apenso5_vol_10_p2309 |
|
MISSING PAGE |
|
2310 to 2311-Police report
re sighting in Tenerife,
Spain |
|
apenso5_vol_10_p2310 |
 |
|
apenso5_vol_10_p2311 |
 |
|
2312 to 2214-Email re
Tenerife sighting |
|
apenso5_vol_10_p2312 |
 |
|
apenso5_vol_10_p2313 |
|
MISSING PAGE |
|
apenso5_vol_10_p2314 |
 |
|
apenso5_vol_10_p2314a |
 |
|
2315-Cover letter |
|
apenso5_vol_10_p2315 |
 |
|
2316 to 2317-Service
information re suspicious
vehicle in Amares |
|
apenso5_vol_10_p2316 |
 |
|
apenso5_vol_10_p2317 |
 |
|
2318-Service information
regarding anonymous tip in
Morocco |
|
apenso5_vol_10_p2318 |
 |
|
2319 to 2321-Missing pages |
|
apenso5_vol_10_p2319 |
|
MISSING PAGE |
|
apenso5_vol_10_p2320 |
|
MISSING PAGE |
|
apenso5_vol_10_p2321 |
|
MISSING PAGE |
|
2322 to 2325-Email re follow
up on Spain sighting |
|
apenso5_vol_10_p2322 |
 |
|
apenso5_vol_10_p2323 |
 |
|
apenso5_vol_10_p2324 |
 |
|
apenso5_vol_10_p2325 |
 |
|
2326 to 2328-Email re
Torrevieja, Spain sighting |
|
apenso5_vol_10_p2326 |
 |
|
apenso5_vol_10_p2327 |
 |
|
apenso5_vol_10_p2328 |
 |
|
apenso5_vol_10_p2238a |
 |
|
2329 to 2341-Handwritten
note re sighting in Seville |
 |
|
apenso5_vol_10_p2330 |
 |
|
apenso5_vol_10_p2331 |
 |
|
apenso5_vol_10_p2332 |
 |
|
apenso5_vol_10_p2333 |
 |
|
2334-2335 (PDF
Pages 196-197), handwritten letter in
English, by Mr Combes also referring to a
reported sighting in Seville. |
|
apenso5_vol_10_p2334 |
 |
|
apenso5_vol_10_p2335 |
 |
|
2336 (PDF Page
198), Map of San Juan, Argentina with
hand-written message saying "Here is
Madeleine". |
|
apenso5_vol_10_p2336 |
 |
|
2337 (PDF Page
199), Sighting in a restaurant in Braga.. |
|
apenso5_vol_10_p2337 |
 |
|
2338 (PDF Page
200), sketch of restaurant. |
|
apenso5_vol_10_p2338 |
 |
|
2339 (PDF Page
201), continuation Braga restaurant
sighting. |
|
apenso5_vol_10_p2339 |
 |
|
apenso5_vol_10_p2340 |
|
MISSING PAGE |
|
2341 (PDF Page
202), Info received from Crimestoppers re -
sighting in Macao airport. |
|
apenso5_vol_10_p2341 |
 |
|
2342-Email re sighting in
Macau |
|
apenso5_vol_10_p2342 |
 |
|
2343-SOCA enquiry form re
sighting in Macau airport |
|
apenso5_vol_10_p2343 |
 |
|
2344 to 2347-Email re
sighting in Greece |
|
apenso5_vol_10_p2344 |
 |
|
apenso5_vol_10_p2345 |
 |
|
apenso5_vol_10_p2346 |
 |
|
apenso5_vol_10_p2347 |
 |
|
apenso5_vol_10_p2347a |
 |
|
apenso5_vol_10_p2347b |
 |
|
apenso5_vol_10_p2347c |
 |
|
2348-Email re sightings in
Buenos Aires |
|
apenso5_vol_10_p2348 |
 |
|
2349 to 2350-Emails re
sighting in Holland |
|
apenso5_vol_10_p2349 |
 |
|
apenso5_vol_10_p2350 |
 |
|
2351-Missing page |
|
apenso5_vol_10_p2351 |
|
MISSING PAGE |
|
2352 to 2353-Report re
sighting in France |
|
apenso5_vol_10_p2352 |
 |
|
apenso5_vol_10_p2353 |
 |