OFFICIAL INQUIRY FILES and DOCUMENTS
APENSOS 05 VOLUME 01

This information belongs to the Ministério Público in Portimão, Portugal.
It was released to the public on 4 August 2008 in accordance with Portuguese Law

1 to 2 - Overview of apenso
apenso5_vol_1_Pag0
apenso5_vol_1_Pag1
apenso5_vol_1_Pag2
apenso5_vol_1_Pag2a
3 - Leicestershire Constabulary continuation of witness statement
apenso5_vol_1_Pag3
4-Information about George Burke sighting of child near marina
apenso5_vol_1_Pag4
5-Logo of Lite Bites Sandwich Shoppe, Lagos Marina
apenso5_vol_1_Pag5
6-Copy of George Brookes' passport
apenso5_vol_1_Pag6
7-External diligence re marina de Lagos sighting 2007.12.04
apenso5_vol_1_Pag7
8-Missing page
apenso5_vol_1_Pag8
MISSING PAGE
9 to10-Service information re Repsol service station in Albufeira
apenso5_vol_1_Pag9
apenso5_vol_1_Pag10
11-Confirmation of fax
apenso5_vol_1_Pag11
12 to 13-Confirmation registered document sent
apenso5_vol_1_Pag12
apenso5_vol_1_Pag13
14-Missing page
apenso5_vol_1_Pag14
MISSING PAGE
15-Handwritten note re sightings in Greece
apenso5_vol_1_Pag15
16 to 17-Email from Greek organization re sightings of Madeleine
apenso5_vol_1_Pag16
apenso5_vol_1_Pag17
18-Email from DC John Hughes
apenso5_vol_1_Pag18
19-Missing page
apenso5_vol_1_Pag19
MISSING PAGE
20-Service information re sighting in Viseu
apenso5_vol_1_Pag20
21-Fax
apenso5_vol_1_Pag21
22-Confirmation of fax
apenso5_vol_1_Pag22
23 to 27-Service information re sighting in Intermarche & Lidl in Codeixa-a-Nova
apenso5_vol_1_Pag23
apenso5_vol_1_Pag24
apenso5_vol_1_Pag25
apenso5_vol_1_Page26
apenso5_vol_1_Pag27
28-Service information re Lidl, Condeixa-a-Nova, sighting
apenso5_vol_1_Pag28
29 to 35-Service information re sighting in Adju Sambu, Villamoura
apenso5_vol_1_Pag29
apenso5_vol_1_Page30
apenso5_vol_1_Pag31
apenso5_vol_1_Pag32
apenso5_vol_1_Pag33
apenso5_vol_1_Pag34
apenso5_vol_1_Pag35
36-Service information re sighting of Madeleine is shoe store in Odemira
apenso5_vol_1_Pag36
37-Missing page
apenso5_vol_1_Pag37
MISSING PAGE
38-Service information re sighting on Coimbra street
apenso5_vol_1_Pag38
39-Email re supposed sighting in Coruche
apenso5_vol_1_Pag39
40  to 45 -Missing page
apenso5_vol_1_Pag40
MISSING PAGE
apenso5_vol_1_Pag41
MISSING PAGE
Page 42
apenso5_vol_1_Pag42
MISSING PAGE
apenso5_vol_1_Pag43
MISSING PAGE
apenso5_vol_1_Pag44
MISSING PAGE
apenso5_vol_1_Pag45
MISSING PAGE
46-Cover letter re delivery of service information
apenso5_vol_1_Pag46
47-Service information re sighting by taxi driver in Coimbra
apenso5_vol_1_Pag47
48-Confirmation of fax
apenso5_vol_1_Pag48
49-Urgent notice cover page
apenso5_vol_1_Pag49
50-Missing page
apenso5_vol_1_Pag50
MISSING PAGE
51-Service information re sighting in camping site in Alvor-Dourada
apenso5_vol_1_Pag51
52-Cover page re service information
apenso5_vol_1_Pag52
53 to 54-Service information re sighting in Alcochete commercial centre
apenso5_vol_1_Pag53
apenso5_vol_1_Pag54
55 to 60-Fax cover sheet from Politie, Amsterdam (Dutch)
apenso5_vol_1_Pag55
apenso5_vol_1_Pag56
apenso5_vol_1_Pag57
apenso5_vol_1_Pag58
apenso5_vol_1_Pag59
apenso5_vol_1_Pag60
61-Fax re translation of Dutch document
apenso5_vol_1_Pag61
62 to 66-Document re: party shop sighting in Amsterdam
apenso5_vol_1_Pag62
apenso5_vol_1_Pag63
apenso5_vol_1_Pag64
apenso5_vol_1_Pag65
apenso5_vol_1_Pag66
67-Service information re sighting in shoe store in Baixa em Lisboa
apenso5_vol_1_Pag67
68-Handwritten note re Malcolm Stewart Smith sighting
apenso5_vol_1_Pag68
69 to 73-Requests for interview of Malcolm Stewart Smith
apenso5_vol_1_Pag69
apenso5_vol_1_Pag70
apenso5_vol_1_Pag71
apenso5_vol_1_Pag72
apenso5_vol_1_Pag73
74-Leicestershire Constabulary enquiry officer checklist
apenso5_vol_1_Pag74
75-Statement from Malcolm Stewart Smith re sighting in Weymouth (English)
apenso5_vol_1_Pag75
76-Request for CCTV images from Dorset establishment related to Smith statement
apenso5_vol_1_Pag76
77 to 81-Statement from Malcolm Stewart Smith (English)
apenso5_vol_1_Pag77
apenso5_vol_1_Pag78
apenso5_vol_1_Pag79
apenso5_vol_1_Pag80
MISSING PAGE
apenso5_vol_1_Pag81
MISSING PAGE
82 to 83-Service information re sighting in Vodafone shoppe in Plaza Colombo, Lisboa
apenso5_vol_1_Pag82
apenso5_vol_1_Pag83
84-Fax
apenso5_vol_1_Pag84
85 to 90-Statement re Vodafone shoppe sighting in Lisbon with CCTV images
apenso5_vol_1_Pag85
apenso5_vol_1_Pag86
apenso5_vol_1_Pag87
apenso5_vol_1_Pag88
apenso5_vol_1_Pag89
apenso5_vol_1_Pag90
91-Service information re sighting near Worten shoppe in Plaza Colombo, Lisbon
apenso5_vol_1_Pag91
92-Email re Vodafone shoppe sighting (see page 82 to 83 above)
apenso5_vol_1_Pag92
93-Cover letter re delivery of service information
apenso5_vol_1_Pag93
94-Service information re sighting in Praca do Comercio, Lisboa
apenso5_vol_1_Pag94
95-Fax
apenso5_vol_1_Pag95
96 to 97-Statement of sighting in Worten shoppe (see page 91)
apenso5_vol_1_Pag96
apenso5_vol_1_Pag97
98-Fax
apenso5_vol_1_Pag98
99-Missing page
apenso5_vol_1_Pag99
MISSING PAGE
100-Incident message re sighting at check-in desk during flight to Gatwick
apenso5_vol_1_Pag100
101-Missing page
apenso5_vol_1_Pag101
MISSING PAGE
102-Cover letter re submission of documents
apenso5_vol_1_Pag102
103-Fax
apenso5_vol_1_Pag103
104-GNR document re declarations taken in Lagos
apenso5_vol_1_Pag104
105 to 106-Transcriptions of declarations
apenso5_vol_1_Pag105
apenso5_vol_1_Pag106
107-Missing page
apenso5_vol_1_Pag107
MISSING PAGE
108-Cover page re submission of document
apenso5_vol_1_Pag108
109-Service information re sighting in Leiria, Portugal
apenso5_vol_1_Pag109
110-Service information re sighting in Quarteira
apenso5_vol_1_Pag110
111-Service information re sighting in Ourique
apenso5_vol_1_Pag111
112-Cover letter re submission of service information
apenso5_vol_1_Pag112
113-Service information re sighting in Alvor
apenso5_vol_1_Pag113
114-Blank page
apenso5_vol_1_Pag114
115-Handwritten information re sighting in Alvor
apenso5_vol_1_Pag115
116-Fax
apenso5_vol_1_Pag116
117-Statement re sighting in Campanha-Porto
apenso5_vol_1_Pag117
118-118a page 118-118a
apenso5_vol_1_Pag118
apenso5_vol_1_Pag118a
119-Email from DC Hughes
apenso5_vol_1_Pag119
120-Missing page
apenso5_vol_1_Pag120
MISSING PAGE
121 to 123-External diligence re Snack-bar in Albufeira/Lagos 2007.05.07
apenso5_vol_1_Pag121
apenso5_vol_1_Pag122
apenso5_vol_1_Pag123
MISSING PAGE
124 to 126-Service information re individual claiming to know Madeleine's whereabouts
apenso5_vol_1_Pag124
apenso5_vol_1_Pag125
MISSING PAGE
apenso5_vol_1_Pag126
127 to 128-Statement of Richard McCluskey sighting 2007.05.09
apenso5_vol_1_Pag127
apenso5_vol_1_Pag128
129 to 130-Statement of Susan McCluskey sighting 2007.05.09 (English)
apenso5_vol_1_Pag129
apenso5_vol_1_Pag130
131-Additional statement of Richard McCluskey 2007.05.09 (English)
apenso5_vol_1_Pag131
132-Missing page
apenso5_vol_1_Pag132
MISSING PAGE
133 to 135-Fax from Northumbria police re McCluskey statement
apenso5_vol_1_Pag133
apenso5_vol_1_Pag134
MISSING PAGE
apenso5_vol_1_Pag135
136- Email re McCluskey statement 2007.09.13
apenso5_vol_1_Pag136
137-Handwritten Richard McCluskey statement
apenso5_vol_1_Pag137
138 to 139-Missing pages
apenso5_vol_1_Pag138
MISSING PAGE
apenso5_vol_1_Pag139
MISSING PAGE
140 to 141-Email with McCluskey statement 2007.09.28 (English)
apenso5_vol_1_Pag140
apenso5_vol_1_Pag141
142 to 143-Service information re sighting in Lidl in Povoa de Lanhoso
apenso5_vol_1_Pag142
apenso5_vol_1_Pag143
144 to 150-External diligence re Lidl sighting in Povoa de Lanhoso
apenso5_vol_1_Pag144
apenso5_vol_1_Pag145
apenso5_vol_1_Pag146
apenso5_vol_1_Pag157
apenso5_vol_1_Pag148
apenso5_vol_1_Pag149
apenso5_vol_1_Pag150
151 to 152-Witness statement of Celine Fernandes da Silva 2007.05.10 re Lidl sighting
apenso5_vol_1_Pag151
apenso5_vol_1_Pag152
153 to 156-Letter to investigation director re Lidl sighting and collection of CCTV images
apenso5_vol_1_Pag153
apenso5_vol_1_Pag154
apenso5_vol_1_Pag155
apenso5_vol_1_Pag156
MISSING PAGE
157-Email from DC J. Hughes
apenso5_vol_1_Pag157
158 to 161-Service information re sighting in 3 Lagos locations
apenso5_vol_1_Pag158
MISSING PAGE
apenso5_vol_1_Pag159
MISSING PAGE
apenso5_vol_1_Pag160
apenso5_vol_1_Pag161
162-Service information re sighting in Portuguese pastry shoppe
apenso5_vol_1_Pag162
163-External diligence re Marinha Grande sighting
apenso5_vol_1_Pag163
164-Service information re Marinha Grande sighting
apenso5_vol_1_Pag164
165-Letter to inspector chief re sightings
apenso5_vol_1_Pag165
166-Handwritten information partially blacked out
apenso5_vol_1_Pag166
167 to 168-Missing pages
apenso5_vol_1_Pag167
MISSING PAGE
apenso5_vol_1_Pag168
MISSING PAGE
169-SOCA international enquiry form re Spanish sightings
apenso5_vol_1_Pag169
170 to 172-Missing pages
apenso5_vol_1_Pag170
MISSING PAGE
apenso5_vol_1_Pag171
MISSING PAGE
apenso5_vol_1_Pag172
MISSING PAGE
173-Cover letter re submission of service information
apenso5_vol_1_Pag173
174 to 175-Service information re sighting in Pingo Doce in Viseu
apenso5_vol_1_Pag174
apenso5_vol_1_Pag175
176-Email re possible sighting with two Russians
apenso5_vol_1_Pag176
177 to 178-Service information re 3 holidayers to the Algarve
apenso5_vol_1_Pag177
apenso5_vol_1_Pag178
179-Service information re sighting in Tavira with vehicle plate check
apenso5_vol_1_Pag179
apenso5_vol_1_Pag179a
180-Service information re sighting in KFC at plaza Colombo, Lisboa
apenso5_vol_1_Pag180
181-Fax
apenso5_vol_1_Pag181
182 to 185-Metropolitan Police report re sighting by British traveler to Portuga
apenso5_vol_1_Pag182
apenso5_vol_1_Pag183
apenso5_vol_1_Pag184
apenso5_vol_1_Pag185
186-Email re information received from Norway
apenso5_vol_1_Pag186
187 to 188-Informal translation of Norway statement (Spanish)
apenso5_vol_1_Pag187
apenso5_vol_1_Pag188
189-Email re sighting in Bairro Alto, Lisbon
apenso5_vol_1_Pag189
190-Email from IP Madrid
apenso5_vol_1_Pag190
191 to 196-Various emails to/from UK/PJ authorities re sightings
apenso5_vol_1_Pag191
apenso5_vol_1_Pag192
apenso5_vol_1_Pag193
apenso5_vol_1_Pag194
apenso5_vol_1_Pag195
MISSING PAGE
apenso5_vol_1_Pag196
197-Service information re sighting in Rio de Mouro
apenso5_vol_1_Pag197
198-GNR letter re information received via post
apenso5_vol_1_Pag198
199 to 200-Statement re Roio de Mouro sighting
apenso5_vol_1_Pag199
apenso5_vol_1_Pag200
201-Fax
apenso5_vol_1_Pag201
202-Email re submission of documents
apenso5_vol_1_Pag202
203-Service information (poor quality copy)
apenso5_vol_1_Pag203
204-Missing page
apenso5_vol_1_Pag204
MISSING PAGE
205-Service information from page 203 continued?? (poor quality copy
apenso5_vol_1_Pag205
206 to 207-Letter re sighting of Antonio Brandao (poor quality copy)
apenso5_vol_1_Pag206
apenso5_vol_1_Pag207
208-Letter re sighting by Antonio Brandao in Super Color, Beloura Shopping Center, Sintra
apenso5_vol_1_Pag208
209-Request for CCTV images from Beloura Shopping Center
apenso5_vol_1_Pag209
210-Vehicle registration check
apenso5_vol_1_Pag210
211 to 212-Service information re possible sighting by journalist in Lisbon
apenso5_vol_1_Pag211
apenso5_vol_1_Pag212
213-Confirmation of fax
apenso5_vol_1_Pag213
214-Email re sighting in Lisbon underground station (English)
apenso5_vol_1_Pag214
215 to 219-Service information re sighting in INtermarche and Lidl in Condeixa-a-Nova (duplicate)
apenso5_vol_1_Pag215
apenso5_vol_1_Pag216
apenso5_vol_1_Pag217
apenso5_vol_1_Pag218
apenso5_vol_1_Pag219
220-Service information re Condeixa-a-Nova sighting
apenso5_vol_1_Pag220
221-Missing page
apenso5_vol_1_Pag221
MISSING PAGE
222 to 225-Statement of Abdrea Griffin re sighting in Alcateia, Algarve
apenso5_vol_1_Pag222
apenso5_vol_1_Pag223
apenso5_vol_1_Pag224
MISSING PAGE
apenso5_vol_1_Pag225
226 to 227-Service information re sighting on the Arrifana beach
apenso5_vol_1_Pag226
apenso5_vol_1_Pag227
228 to 229-Service information re sighting in coffee shop in Milharado, Venda do Pinheiro
apenso5_vol_1_Pag228
apenso5_vol_1_Pag229
230-Vehicle registration search
apenso5_vol_1_Pag230
231-Fax
apenso5_vol_1_Pag231
232-Service information re sighting at Fatima shrine
apenso5_vol_1_Pag232
233-Service information re sighting in Caldas das Rainha
apenso5_vol_1_Pag233
234-Service information re anonymous call
apenso5_vol_1_Pag234
235 to 241-Missing pages
apenso5_vol_1_Pag235
MISSING PAGE
apenso5_vol_1_Pag236
MISSING PAGE
apenso5_vol_1_Pag237
MISSING PAGE
apenso5_vol_1_Pag238
MISSING PAGE
apenso5_vol_1_Pag239
MISSING PAGE
apenso5_vol_1_Pag240
MISSING PAGE
apenso5_vol_1_Pag241
MISSING PAGE
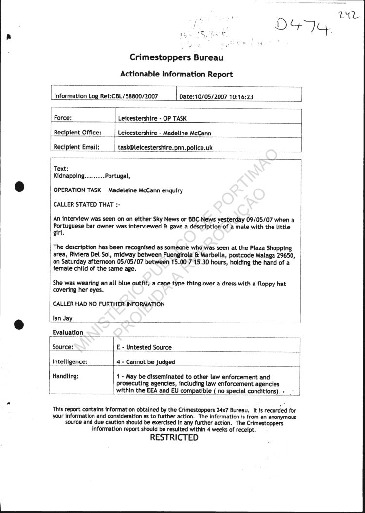
242-Crimestoppers Bureau information report re Sky News/BBC interview & sighting
apenso5_vol_1_Pag242
243-SOCA international enquiry form request to investigate possible Spain sightings (duplicate)
apenso5_vol_1_Pag243
244-Missing page
apenso5_vol_1_Pag244
MISSING PAGE
245-Service information re sighting in Peniche
apenso5_vol_1_Pag245
246 to 247-Service information re sighting in Amoreiras, Lisbon
apenso5_vol_1_Pag246
apenso5_vol_1_Pag247
248-Fax
apenso5_vol_1_Pag248
249 to 250-Service information re sighting in Seixal
apenso5_vol_1_Pag249
apenso5_vol_1_Pag250
251-Setubal Police cover page
apenso5_vol_1_Pag251
252-Service information re Seixal sighting (see page 249 to 250)
apenso5_vol_1_Pag252

TO HELP KEEP THIS SITE ON LINE PLEASE CONSIDER

Site Policy HOME PAGE Contact details