OFFICIAL INQUIRY FILES and DOCUMENTS
APENSOS 05 VOLUME 02

This information belongs to the Ministério Público in Portimão, Portugal.
It was released to the public on 4 August 2008 in accordance with Portuguese Law

253-Letter re addendum and CD
apenso5_vol_2_p0
apenso5_vol_2_p253
254 to 255-Service information re sighting at hypermarket in Feira Nova
apenso5_vol_2_p254
apenso5_vol_2_p255
256-GNR information re sighting at Hypermarket in Feira Nova
apenso5_vol_2_p256
257-Missing page
apenso5_vol_2_p257
MISSING PAGE
258-Handwritten note
apenso5_vol_2_p258
259-Cover of envelope sent to PJ from Spain
apenso5_vol_2_p259
260-Handwritten letter (envelope content) re sighting in Spain
apenso5_vol_2_p260
261-Cover of Envelope to PJ from Spain
apenso5_vol_2_p261
262 to 266-Service information re fax sent re sighting in Rua Dom Gasapr Leao, Lagos
apenso5_vol_2_p262
apenso5_vol_2_p263
apenso5_vol_2_p264
apenso5_vol_2_p265
apenso5_vol_2_p266
267-Fax cover page re information received
apenso5_vol_2_p267
268-Service information re sighting in Rua Dom Gaspar Leao
apenso5_vol_2_p268
269-Redacted page
apenso5_vol_2_p269
270-Service information re sighting in metro station in Quinta das Conchas
apenso5_vol_2_p270
271-Service information re sighting in Nazare
apenso5_vol_2_p271
272-Service information re sighting in Valencia, Spain
apenso5_vol_2_p272
MISSING PAGE
273-Blank page
apenso5_vol_2_p273
274 to 276-Missing pages
apenso5_vol_2_p274
apenso5_vol_2_p275
MISSING PAGE
apenso5_vol_2_p276
MISSING PAGE
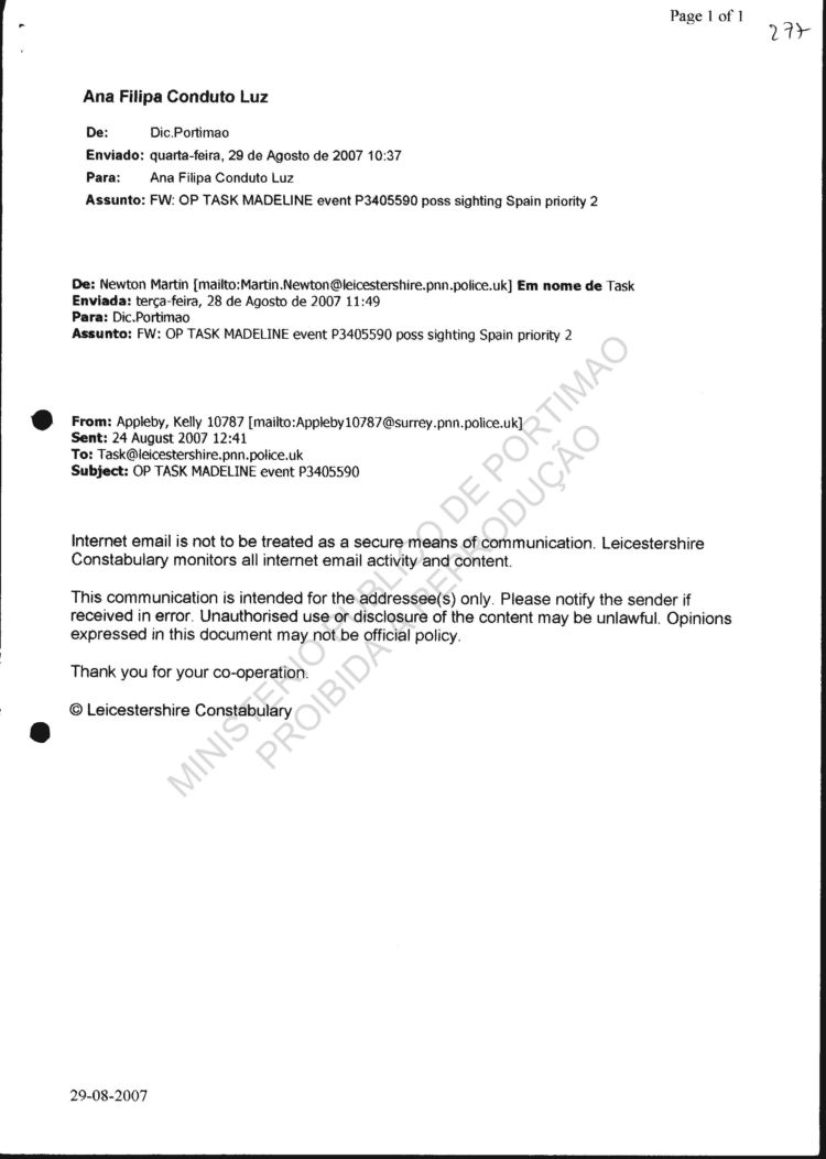
277 to 279-Email to PJ from Leicestershire constabulary with details of sighting in Alicante, Spain
apenso5_vol_2_p277
apenso5_vol_2_p278
apenso5_vol_2_p279
280-Handwritten note re sighting on Island of Rhodes
apenso5_vol_2_p280
281-Officer's report Island of Rhodes sighting (English)
apenso5_vol_2_p281
282-Information re sighting in Alicante airport
apenso5_vol_2_p282
283 to 284-Service information re sighting in the Azores
apenso5_vol_2_p283
apenso5_vol_2_p284
285-Handwritten cover page
(?)
apenso5_vol_2_p285
286-Fax
apenso5_vol_2_p286
 
287 to 289-SOCA correspondence re Spanish sightings (duplicate)
apenso5_vol_2_p287
MISSING PAGE
apenso5_vol_2_p288
apenso5_vol_2_p289
290-Missing page
apenso5_vol_2_p290
MISSING PAGE
291-Service information re sighting in Valencia, Spain
apenso5_vol_2_p291
292-Email
apenso5_vol_2_p292
293-Letter from German Embassy in Portugal re sighting in Tunisia
apenso5_vol_2_p293
294 to 298-Details of Tunisia sighting by German tourist
apenso5_vol_2_p294
apenso5_vol_2_p295
apenso5_vol_2_p296
apenso5_vol_2_p297
apenso5_vol_2_p298
299-Details of sighting on Broadstairs High Street, Margate
apenso5_vol_2_p299
apenso5_vol_2_p299a
300 to 301-Statement of sighting on Broadstairs High Street, Margate
apenso5_vol_2_p300
apenso5_vol_2_p301
302 to 303-Service information re sighting at Feira do Relogio, Lisbon
apenso5_vol_2_p302
apenso5_vol_2_p303
304-Conformation of fax
apenso5_vol_2_p304
305 to 306-Service information re sighting at Feira do Relogio, Lisbon
apenso5_vol_2_p305
apenso5_vol_2_p306
307-Service information re sighting near Evora
apenso5_vol_2_p307
308 to 309-Service information re sighting at Palma aeroport
apenso5_vol_2_p308
apenso5_vol_2_p309
310-Fax
apenso5_vol_2_p310
311-Blank page
apenso5_vol_2_p311
312 to 313-South Wales Police information re sighting in Majorca
apenso5_vol_2_p312
apenso5_vol_2_p313
314-Service information re sighting in Loule
apenso5_vol_2_p314
315 to 318-GNR information re sighting re Loule sighting
apenso5_vol_2_p315
apenso5_vol_2_p316
apenso5_vol_2_p317
apenso5_vol_2_p318
319 to 321-Statement re Loule sighting
apenso5_vol_2_p319
MISSING PAGE
apenso5_vol_2_p320
apenso5_vol_2_p321
MISSING PAGE
322-Service information re sighting in Train station in Ferreiras
apenso5_vol_2_p322
323 to 327-Missing pages
apenso5_vol_2_p323
MISSING PAGE
apenso5_vol_2_p324
MISSING PAGE
apenso5_vol_2_p325
MISSING PAGE
apenso5_vol_2_p326
MISSING PAGE
apenso5_vol_2_p327
MISSING PAGE
328 to 331-SOCA correspondence re sighting in Barcelona
apenso5_vol_2_p328
apenso5_vol_2_p329
MISSING PAGE
apenso5_vol_2_p330
MISSING PAGE
apenso5_vol_2_p331
332 to 333-Service information re sighting in Continente supermarket in Lourel
apenso5_vol_2_p332
apenso5_vol_2_p333
334-Cover page re service information
apenso5_vol_2_p334
335 to 339-Service information re Valencia train station sighting
apenso5_vol_2_p335
apenso5_vol_2_p336
apenso5_vol_2_p337
apenso5_vol_2_p338
apenso5_vol_2_p339
340-Service information re another Valencia sighting
apenso5_vol_2_p340
341 to 345-Blank pages
apenso5_vol_2_p341
MISSING PAGE
apenso5_vol_2_p342
MISSING PAGE
apenso5_vol_2_p343
MISSING PAGE
apenso5_vol_2_p344
MISSING PAGE
apenso5_vol_2_p345
MISSING PAGE
346-Email to Task Portugal
apenso5_vol_2_p346
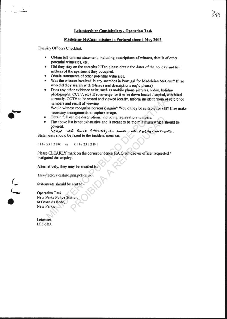
347 to 348-Leicestershire constabulary document re UK CCTV sightings and officer's checklist (English)
apenso5_vol_2_p347
apenso5_vol_2_p348
349 to 350-Statement request for Broadstairs, Margate sighting
apenso5_vol_2_p349
apenso5_vol_2_p350
351-Letter re sighting near Marques de Pombal, downtown Lisbon
apenso5_vol_2_p351
352 to 354-Email re sighting on P & O Troon/Larne Ferry line (English)
apenso5_vol_2_p352
apenso5_vol_2_p353
apenso5_vol_2_p354
355-Missing page
apenso5_vol_2_p355
MISSING PAGE
356 to 358-Service information re sighting in train stations near Vila Franca da Xira
apenso5_vol_2_p356
apenso5_vol_2_p357
apenso5_vol_2_p358
359-Email
apenso5_vol_2_p359
360-Letter re sighting in metro station in Areiro
apenso5_vol_2_p360
361-Service information re sighting in Jeep Cherokee near Faro
apenso5_vol_2_p361
362-Email re sighting near Viseu
apenso5_vol_2_p362
363 to 365-Emails re sighting in Parana, Brasil
apenso5_vol_2_p363
apenso5_vol_2_p364
apenso5_vol_2_p365
MISSING PAGE
366-Email re report of duty officer in Berlin related to Palma airport sighting (English)
apenso5_vol_2_p366
367 to 368-Service information (illegible copy)
apenso5_vol_2_p367
apenso5_vol_2_p368
369-Service information re sighting on Miramar beach in Vila Nova de Gaia
apenso5_vol_2_p369
370 to 374-Vehicle registration search and other details re Miramar sighting
apenso5_vol_2_p370
apenso5_vol_2_p371
apenso5_vol_2_p372
apenso5_vol_2_p373
apenso5_vol_2_p374
375 to 376-Further service information re Miramar beach sighting
apenso5_vol_2_p375
apenso5_vol_2_p376
377-Vehicle registration search
apenso5_vol_2_p377
378-Information re individual tied to Miramar beach sighting
apenso5_vol_2_p378
379-Service information re sightings near pools in Vouzela
apenso5_vol_2_p379
380-Details of sighting in Portimao (English)
apenso5_vol_2_p380
381 to 382-Service information re sighting in BP service station in Alto do Quintao
apenso5_vol_2_p381
apenso5_vol_2_p382
383-Fax
apenso5_vol_2_p383
384 to 385-Service information re CESPA sighting in S. Pedro da Cova
apenso5_vol_2_p384
apenso5_vol_2_p385
386-Email re sighting at Golf Course near St. Andrews
apenso5_vol_2_p386
387-Service information re possible location on Madeleine in Luz
apenso5_vol_2_p387
388-Fax
apenso5_vol_2_p388
389 to 391-Email re sighting in supermarket in Parana, Brasil
apenso5_vol_2_p389
MISSING PAGE
apenso5_vol_2_p390
apenso5_vol_2_p391
392-Leicestershire Constabulary fax cover sheet re sighting in vehicle in Clitheroe
apenso5_vol_2_p392
393-Duplicate page
apenso5_vol_2_p393
DUPLICATE OF 392
394-Detail of sighting in vehicle in Clitheroe (English)
apenso5_vol_2_p394
395-Lancashire constabulary re sighting diligence/closure of log
apenso5_vol_2_p395
396 to 397-Incident log print
apenso5_vol_2_p396
apenso5_vol_2_p397
398 to 399-Missing pages
apenso5_vol_2_p398
MISSING PAGE
apenso5_vol_2_p399
MISSING PAGE
400-Written statement re sighting in Finland
apenso5_vol_2_p400
401 to 402-Missing pages
apenso5_vol_2_p401
MISSING PAGE
apenso5_vol_2_p402
MISSING PAGE
403-SOCA documentation re Spain sightings
apenso5_vol_2_p403
404-Email re request for Spanish authorities for diligence
apenso5_vol_2_p404
405 to 409-Missing pages
apenso5_vol_2_p405
MISSING PAGE
apenso5_vol_2_p406
MISSING PAGE
apenso5_vol_2_p407
MISSING PAGE
apenso5_vol_2_p408
MISSING PAGE
apenso5_vol_2_p409
MISSING PAGE
410-Email re Morocco and Spanish ferry to Morocco sightings
apenso5_vol_2_p410
411-Missing page
apenso5_vol_2_p411
MISSING PAGE
412-Incident report re sighting on ferry from Tangier to Tarefa (English)
apenso5_vol_2_p412
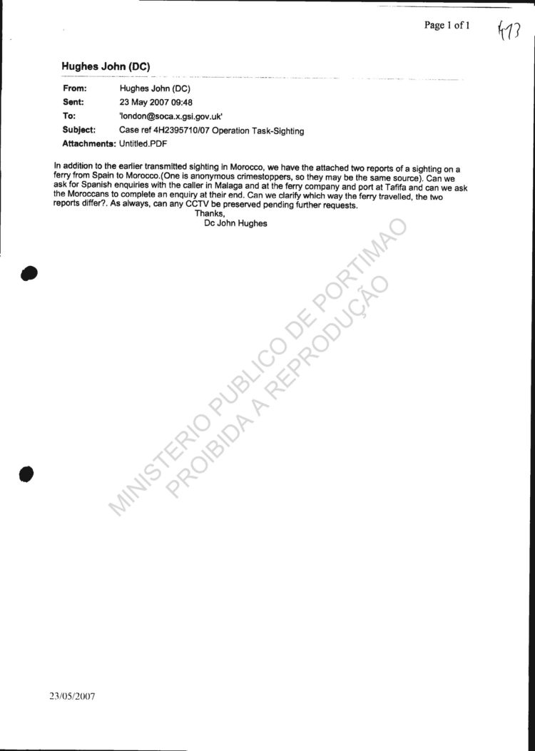
413-Email from DC Hughes re Spain to Morocco CCTV sighting (English)
apenso5_vol_2_p413
414 to 418-Missing page
apenso5_vol_2_p414
MISSING PAGE
apenso5_vol_2_p415
MISSING PAGE
apenso5_vol_2_p416
MISSING PAGE
apenso5_vol_2_p417
MISSING PAGE
apenso5_vol_2_p418
MISSING PAGE
419 to 420-Incident message re sighting in coffee bar in Majorca (English
apenso5_vol_2_p419
apenso5_vol_2_p420
421-SOCA correspondence re Majorca sighting
apenso5_vol_2_p421
422 to 423-Missing pages
apenso5_vol_2_p422
MISSING PAGE
apenso5_vol_2_p423
MISSING PAGE
424-Email from DC Hughes re Majorca sightings (English)
apenso5_vol_2_p424

TO HELP KEEP THIS SITE ON LINE PLEASE CONSIDER

Site Policy HOME PAGE Contact details