|
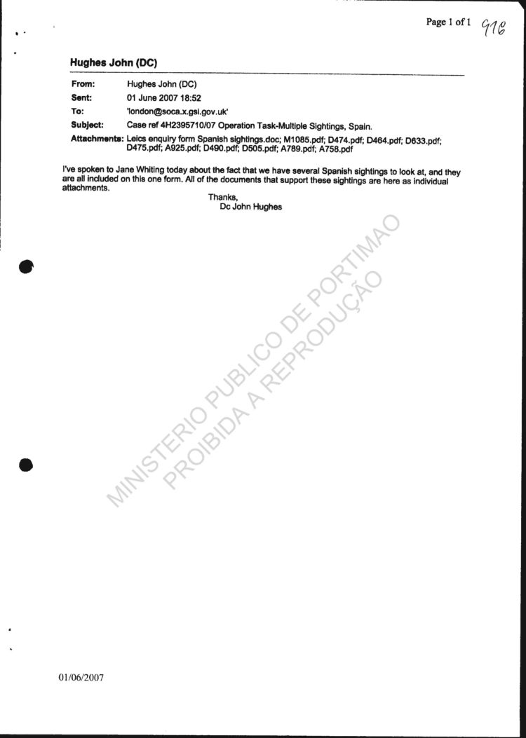
990-Email from DC Hughes |
|
apenso5_vol_5_p990 |
 |
|
991-Missing page |
|
apenso5_vol_5_p991 |
|
MISSING PAGE |
|
992-Statement re sighting in
Spain, California, and
Waterbury, Connecticut |
|
apenso5_vol_5_p992 |
 |
|
993-Service information re
sighting in Olhao, Portugal |
|
apenso5_vol_5_p993 |
 |
|
994-Fax confirmation |
|
apenso5_vol_5_p994 |
 |
|
995-Blank page |
|
apenso5_vol_5_p995 |
 |
|
996 to 997-Statement re
sighting in Benidorm |
|
apenso5_vol_5_p996 |
 |
|
apenso5_vol_5_p997 |
 |
|
998-Email re Benidrom
sighting |
|
apenso5_vol_5_p998 |
 |
|
999 to 1002-Missing Pages |
|
apenso5_vol_5_p999 |
|
MISSING PAGE |
|
apenso5_vol_5_p1000 |
|
MISSING PAGE |
|
apenso5_vol_5_p1001 |
|
MISSING PAGE |
|
apenso5_vol_5_p1002 |
|
MISSING PAGE |
|
1003- Statement re sighting
in Burger King in Munich |
|
apenso5_vol_5_p1003 |
 |
|
1004-Email re action re
sighting at Munich airport |
|
apenso5_vol_5_p1004 |
 |
|
1005-Statement re sighting
in Loure |
|
apenso5_vol_5_p1005 |
 |
|
1006 to 1007-Missing pages |
|
apenso5_vol_5_p1006 |
|
MISSING PAGE |
|
apenso5_vol_5_p1007 |
|
MISSING PAGE |
|
1008 to 1009-Statement re
sighting in Gozo, Malta |
|
apenso5_vol_5_p1008 |
 |
|
apenso5_vol_5_p1009 |
 |
|
1010 to 1011-Statement re
sighting in Medina Market, Algadir, Morocco |
|
apenso5_vol_5_p1010 |
 |
|
apenso5_vol_5_p1011 |
 |
|
1012 to 1013-Missing pages |
|
apenso5_vol_5_p1012 |
|
MISSING PAGE |
|
apenso5_vol_5_p1013 |
|
MISSING PAGE |
|
1014-Officer's Report
(poorly copied page) |
|
apenso5_vol_5_p1014 |
 |
|
1015 to 1016-Statement re
sighting in Huddersfield |
|
apenso5_vol_5_p1015 |
 |
|
apenso5_vol_5_p1016 |
 |
|
1017 to 1018-Statement re
sighting in Spain |
|
apenso5_vol_5_p1017 |
 |
|
apenso5_vol_5_p1018 |
 |
|
1019-Email re Spanish
sightings |
|
apenso5_vol_5_p1019 |
 |
|
1020 to 1021-Statement re
sighting in Spain |
|
apenso5_vol_5_p1020 |
 |
|
apenso5_vol_5_p1021 |
 |
|
1022-Email from DC Hughes re
Spanish sightings
(duplicate) |
|
apenso5_vol_5_p1022 |
 |
|
1023-Email re Dutch vehicle
enquiry |
|
apenso5_vol_5_p1023 |
 |
|
1024-SOCA International
enquiry form re Lidisfarne,
Holy Island, England |
|
apenso5_vol_5_p1024 |
 |
|
1025-Blank page |
|
apenso5_vol_5_p1025 |
 |
|
apenso5_vol_5_p1025a |
 |
|
1026-Email |
|
apenso5_vol_5_p1026 |
 |
|
1027-Email re sighting in
Rio de Janeiro, Brasil |
|
apenso5_vol_5_p1027 |
 |
|
1028 to 1029-Email re
sighting in Udine, Italy |
|
apenso5_vol_5_p1028 |
 |
|
apenso5_vol_5_p1029 |
 |
|
1030 to 1031-Missing pages |
|
apenso5_vol_5_p1030 |
|
MISSING PAGE |
|
apenso5_vol_5_p1031 |
|
MISSING PAGE |
|
1032 to 1033-Statement re
sighting in Edinburgh |
|
apenso5_vol_5_p1032 |
 |
|
apenso5_vol_5_p1033 |
 |
|
1034 to 1039-Missing pages |
|
apenso5_vol_5_p1034 |
|
MISSING PAGE |
|
apenso5_vol_5_p1035 |
|
MISSING PAGE |
|
apenso5_vol_5_p1036 |
|
MISSING PAGE |
|
apenso5_vol_5_p1037 |
|
MISSING PAGE |
|
apenso5_vol_5_p1038 |
|
MISSING PAGE |
|
apenso5_vol_5_p1039 |
|
MISSING PAGE |
|
1040 to 1041-Letter from
Central Scotland Police re
sighting |
|
apenso5_vol_5_p1040 |
 |
|
apenso5_vol_5_p1041 |
 |
|
1042-Missing page |
|
apenso5_vol_5_p1042 |
|
MISSING PAGE |
|
1043-Email |
|
apenso5_vol_5_p1043 |
 |
|
1044- Statement re sighting
in Switzerland |
|
apenso5_vol_5_p1044 |
 |
|
1045-Missing page |
|
apenso5_vol_5_p1045 |
|
MISSING PAGE |
|
1046 to 1053-Information re
sighting in Caravan Park,
Monkton, Ramsgate |
|
apenso5_vol_5_p1046 |
 |
|
apenso5_vol_5_p1047 |
 |
|
apenso5_vol_5_p1048 |
 |
|
apenso5_vol_5_p1049 |
 |
|
apenso5_vol_5_p1050 |
 |
|
apenso5_vol_5_p1051 |
 |
|
apenso5_vol_5_p1052 |
 |
|
apenso5_vol_5_p1053 |
 |
|
1054-Service information re
sighting in southern Morocco |
|
apenso5_vol_5_p1054 |
 |
|
1055-Fax |
|
apenso5_vol_5_p1055 |
 |
|
1056-Email re sighting at
Zurich train station |
|
apenso5_vol_5_p1056 |
 |
|
1057 to 1061-Missing pages |
|
apenso5_vol_5_p1057 |
|
MISSING PAGE |
|
apenso5_vol_5_p1058 |
|
MISSING PAGE |
|
apenso5_vol_5_p1059 |
|
MISSING PAGE |
|
apenso5_vol_5_p1060 |
|
MISSING PAGE |
|
apenso5_vol_5_p1061 |
|
MISSING PAGE |
|
1062-SOCA International
enquiry form re sightings in
Italy |
|
apenso5_vol_5_p1062 |
 |
|
1063 to 1064-Missing pages |
|
apenso5_vol_5_p1063 |
|
MISSING PAGE |
|
apenso5_vol_5_p1064 |
|
MISSING PAGE |
|
1065-Letter re possible
location of Madeleine's
whereabouts |
|
apenso5_vol_5_p1065 |
 |
|
1066 to 1067-Email re
sighting in Morocco |
|
apenso5_vol_5_p1066 |
 |
|
apenso5_vol_5_p1067 |
 |
|
1068-Email re sighting in
Jackson Airport, Atlanta,
USA |
|
apenso5_vol_5_p1068 |
 |
|
1069-Service information re
sighting in Luxembourg |
|
apenso5_vol_5_p1069 |
 |
|
1070-Service information re
sighting in Sotogrande,
Malaga |
|
apenso5_vol_5_p1070 |
 |
|
1071-Statement re sighting
in Udine, Italy |
|
apenso5_vol_5_p1071 |
 |
|
1072-Statement re sighting
in Ventimiglia |
|
apenso5_vol_5_p1072 |
 |
|
apenso5_vol_5_p1072a |
 |
|
1073 to 1074-Email re
sighting in Costa del Sol |
|
apenso5_vol_5_p1073 |
 |
|
apenso5_vol_5_p1074 |
 |
|
1075 to 1077-Missing pages |
|
apenso5_vol_5_p1075 |
|
MISSING PAGE |
|
apenso5_vol_5_p1076 |
|
MISSING PAGE |
|
apenso5_vol_5_p1077 |
|
MISSING PAGE |
|
1078-Service information re
sighting in southern Morocco |
|
apenso5_vol_5_p1078 |
 |
|
1079-Email re sighting in
Home Depot, Upland,
California |
|
apenso5_vol_5_p1079 |
 |
|
1080-Statement re sighting
in/near Nice, France |
|
apenso5_vol_5_p1080 |
 |
|
1081-Statement re sighting
in Morocco |
|
apenso5_vol_5_p1081 |
 |
|
1082-Officer's report (poor
quality copy) |
|
apenso5_vol_5_p1082 |
 |
|
1083 to 1084-Statement re
sighting in Morocco |
|
apenso5_vol_5_p1083 |
 |
|
apenso5_vol_5_p1084 |
 |