OFFICIAL INQUIRY FILES and DOCUMENTS
APENSOS 05 VOLUME 06

This information belongs to the Ministério Público in Portimão, Portugal.
It was released to the public on 4 August 2008 in accordance with Portuguese Law

1161 to 1163-Interpol letter with pictures re sighting in Rhodes
apenso5_vol_6_p0
apenso5_vol_6_p0a
apenso5_vol_6_p1161
apenso5_vol_6_p1162
apenso5_vol_6_p1163
1164-Statement re sighting in Albufeira
apenso5_vol_6_p1164
1165 to 1168-Statement re sighting in Sevilla Cathedral
apenso5_vol_6_p1165
apenso5_vol_6_p1166
apenso5_vol_6_p1167
apenso5_vol_6_p1168
MISSING PAGE
1169 to 1170-Statement re sighting in Egypt
apenso5_vol_6_p1169
apenso5_vol_6_p1170
1171-Missing page
apenso5_vol_6_p1171
MISSING PAGE
1172-Email from DC Hughes re Egyptian sighting
apenso5_vol_6_p1172
1173 to 1775-Email and statement re sighting on beach in Mallorca
apenso5_vol_6_p1173
apenso5_vol_6_p1174
apenso5_vol_6_p1175
1176-Statement re sighting in Vilamoura
apenso5_vol_6_p1176
1177-Blank page
apenso5_vol_6_p1177
1178 to 1187-Statement re sighting in Vilamoura
apenso5_vol_6_p1178
apenso5_vol_6_p1179
apenso5_vol_6_p1180
apenso5_vol_6_p1181
apenso5_vol_6_p1182
apenso5_vol_6_p1183
apenso5_vol_6_p1184
apenso5_vol_6_p1185
apenso5_vol_6_p1186
apenso5_vol_6_p1187
1188-Missing page
apenso5_vol_6_p1188
MISSING PAGE
1189 to 1190-Statement re sighting in Braga, Portugal
apenso5_vol_6_p1189
apenso5_vol_6_p1190
1191 to 1192-Correspondence
apenso5_vol_6_p1191
apenso5_vol_6_p1191a
apenso5_vol_6_p1192
1193-Statement re sighting in Nelas
apenso5_vol_6_p1193
1194-Correspondence
apenso5_vol_6_p1194
1195-Letter re telephone call
apenso5_vol_6_p1195
1196-Statement re sighting on Cascais train line
apenso5_vol_6_p1196
1197-Service information re sighting on AI towards Coimbra Norte
apenso5_vol_6_p1197
1198-Email re sighting at petrol station
apenso5_vol_6_p1198
1199-Email with attachment re sightings near Scottish borders
apenso5_vol_6_p1199
1200-Information re Scottish border sightings
apenso5_vol_6_p1200
1201 to 1206-Statements and details re Scottish border sightings
apenso5_vol_6_p1201
apenso5_vol_6_p1202
apenso5_vol_6_p1203
apenso5_vol_6_p1204
apenso5_vol_6_p1205
apenso5_vol_6_p1206
1207 to 1208-Statement re sighting in Colwyn Bay, Clywyd
apenso5_vol_6_p1207
apenso5_vol_6_p1208
1209 -Email re sighting Dublin
apenso5_vol_6_p1209
apenso5_vol_6_p1209a
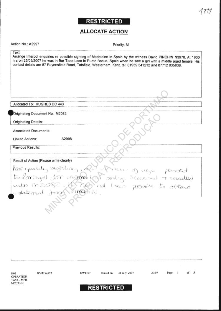
1210 to 1215-Statement re sighting in Spain
apenso5_vol_6_p1210
apenso5_vol_6_p1211
apenso5_vol_6_p1212
apenso5_vol_6_p1213
apenso5_vol_6_p1214
apenso5_vol_6_p1215
MISSING PAGE
1216-Fax
apenso5_vol_6_p1216
1217 to 1218-Service information re lighting in Tarragona, Spain
apenso5_vol_6_p1217
apenso5_vol_6_p1218
1219-Email re sighting in France
apenso5_vol_6_p1219
1220-Missing page
apenso5_vol_6_p1220
MISSING PAGE
1221-Email
apenso5_vol_6_p1221
1222 to 1227-Statements re multiple sightings in Spain

1222, and 1223 are in the Portuguese Language re multiple sightings in Spain

apenso5_vol_6_p1222
apenso5_vol_6_p1223
1224 Page 1224, is an English Language report of multiple sightings in Spain
apenso5_vol_6_p1224
1225, 1226 and 1227  "Missing or Misplaced" pages.
apenso5_vol_6_p1225
MISSING PAGE
apenso5_vol_6_p1226
MISSING PAGE
apenso5_vol_6_p1227
MISSING PAGE
1228-Missing page
apenso5_vol_6_p1228
MISSING PAGE
1229 to 1230-Statement re sighting in Marrakesh
apenso5_vol_6_p1229
apenso5_vol_6_p1230
1231 to 1234-Statement re sighting in Gale
apenso5_vol_6_p1231
apenso5_vol_6_p1232
apenso5_vol_6_p1233
apenso5_vol_6_p1234
1235-Missing page
apenso5_vol_6_p1235
MISSING PAGE
1236 to 1237-Email re Malta sighting
apenso5_vol_6_p1236
apenso5_vol_6_p1237
1238-Missing page
apenso5_vol_6_p1238
MISSING PAGE
1239 to 1240-Email re tip from Toronto Crimestoppers
apenso5_vol_6_p1239
apenso5_vol_6_p1240
1241-Missing page
apenso5_vol_6_p1241
MISSING PAGE
1242 to 1243-Leicestershire constabulary re Jane Tanner's mobile phone usage
apenso5_vol_6_p1242
apenso5_vol_6_p1243
1244 to 1245-Email re sighting in Turkey
apenso5_vol_6_p1244
apenso5_vol_6_p1245
1246-Missing page
apenso5_vol_6_p1246
MISSING PAGE
1247 to 1254-Statement re sighting in East Midlands
apenso5_vol_6_p1247
apenso5_vol_6_p1248
apenso5_vol_6_p1249
apenso5_vol_6_p1250
apenso5_vol_6_p1251
apenso5_vol_6_p1252
apenso5_vol_6_p1253
apenso5_vol_6_p1254
1255 to 1256-Email re sighting in Spain
apenso5_vol_6_p1255
apenso5_vol_6_p1256
apenso5_vol_6_p1256a
1257-Note re sighting in Maputo, Mocambique
apenso5_vol_6_p1257
1258-Email re Mocambique sighting
apenso5_vol_6_p1258
1259 to 1260-Missing pages
apenso5_vol_6_p1259
MISSING PAGE
apenso5_vol_6_p1260
MISSING PAGE
1261-Email re Bulgarian sightings
apenso5_vol_6_p1261
1262-SOCA International enquiry form re Bulgaria sighting
apenso5_vol_6_p1262
1263-Email re sighting in Nice
apenso5_vol_6_p1263
1264-SOCA International enquiry form re hotel sighting in Nice
1265-Service information re sighting in Luxemburg
apenso5_vol_6_p1264
apenso5_vol_6_p1265
1266-Email re sighting in Jerez, Spain
apenso5_vol_6_p1266
1267 to 1273-Email re SOCA information
apenso5_vol_6_p1267
apenso5_vol_6_p1268
apenso5_vol_6_p1269
apenso5_vol_6_p1270
apenso5_vol_6_p1271
apenso5_vol_6_p1272
apenso5_vol_6_p1273
1274-Email re Malta sighting
apenso5_vol_6_p1274
1275 to 1276-Email from Weisbaden IP
apenso5_vol_6_p1275
apenso5_vol_6_p1276
1277-Blank page
apenso5_vol_6_p1277
MISSING PAGE
1278 to 1279-Correspondence re sighting in Jerez de la Frontera, Spain
apenso5_vol_6_p1278
apenso5_vol_6_p1279
1280 to 1281-Statement re suspicious care in PdL
apenso5_vol_6_p1280
apenso5_vol_6_p1281
1282 to 1284-Missing pages
apenso5_vol_6_p1282
MISSING PAGE
apenso5_vol_6_p1283
MISSING PAGE
apenso5_vol_6_p1284
MISSING PAGE
1285-Service information re sighting in Maputo, Mocambique
apenso5_vol_6_p1285
1286-Service information re sighting in Swiss hotel
apenso5_vol_6_p1286
1287-Confirmation of fax
apenso5_vol_6_p1287
1288-Service information re sighting in Pingo Doce, Ourique
apenso5_vol_6_p1288
1289-Confirmation of fax
apenso5_vol_6_p1289
1290-Missing page
apenso5_vol_6_p1290
MISSING PAGE
1291 to 1292-Statement re sighting in Offenburg, Germany
apenso5_vol_6_p1291
apenso5_vol_6_p1292
1293-Missing pages
apenso5_vol_6_p1293
MISSING PAGE
1294 to 1295-Statement re sighting in children's playground
apenso5_vol_6_p1294
apenso5_vol_6_p1295
1296 to 1298-Missing pages
apenso5_vol_6_p1296
MISSING PAGE
apenso5_vol_6_p1297
MISSING PAGE
apenso5_vol_6_p1298
MISSING PAGE
1299 to 1300-SOCA International enquiry form re US sightings
apenso5_vol_6_p1299
apenso5_vol_6_p1300
1301-Email from DC Hughes re US sightings
apenso5_vol_6_p1301
apenso5_vol_6_p1301a
1302-Email from DC Hughes re Belgian sightings
apenso5_vol_6_p1302
1303-SOCA International enquiry form re Brussels sighting
apenso5_vol_6_p1303
1304-SOCA International enquiry form re Spanish sighting
apenso5_vol_6_p1304
MISSING PAGE
1305 to 1307-Missing pages
apenso5_vol_6_p1305
MISSING PAGE
apenso5_vol_6_p1306
MISSING PAGE
apenso5_vol_6_p1307
MISSING PAGE
1308-SOCA International enquiry form re Spanish sightings
apenso5_vol_6_p1308
1309-Email from DC Hughes re Spanish sighting
apenso5_vol_6_p1309
1310 to 1312-Missing pages
apenso5_vol_6_p1310
MISSING PAGE
apenso5_vol_6_p1311
MISSING PAGE
1312-Statement re sighting in Italy
apenso5_vol_6_p1312
MISSING PAGE
1313-Missing page
apenso5_vol_6_p1313
1314-Service information re sighting in Massachusetts
apenso5_vol_6_p1314
1315-Missing page
apenso5_vol_6_p1315
MISSING PAGE
1316 to 1318-Email re sighting in Spain
apenso5_vol_6_p1316
apenso5_vol_6_p1317
apenso5_vol_6_p1318
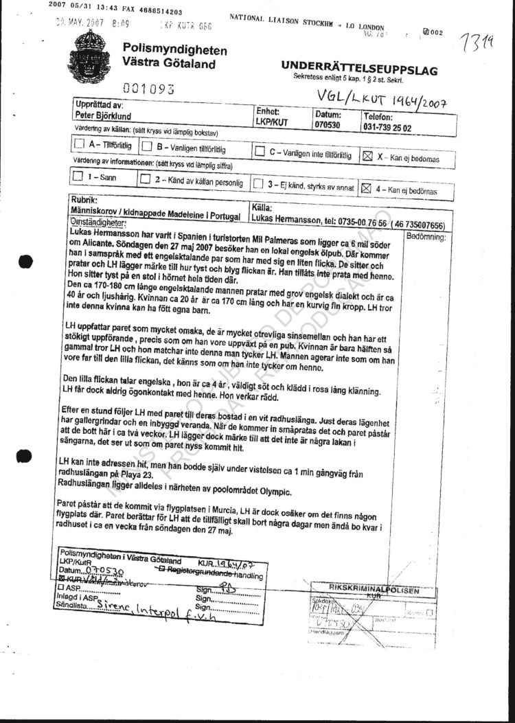
1319-Swedish/Scandinavian document re Sighting?
apenso5_vol_6_p1319
1320-Fax cover sheet (Swedish)
apenso5_vol_6_p1320
1321-Blank page
apenso5_vol_6_p1321
1322 to 1323-Email re Stockholm Interpol information
apenso5_vol_6_p1322
apenso5_vol_6_p1323
1324-Cover sheet from Stockholm Interpol
apenso5_vol_6_p1324
1325-Email re Spanish sighting
apenso5_vol_6_p1325
1326-Statement re sighting in English pub in Mil Palmeras, Spain
apenso5_vol_6_p1326
1327-SOCA International enquiry form re Mil Palmeras sighting
apenso5_vol_6_p1327
1328 to 1330-Swedish documents re sighting
apenso5_vol_6_p1328
apenso5_vol_6_p1329
apenso5_vol_6_p1330
apenso5_vol_6_p1330a
1331-Service information re sighting in Olhao
apenso5_vol_6_p1331
1332-Confirmation of fax
apenso5_vol_6_p1332
1333-Missing page
apenso5_vol_6_p1333
MISSING PAGE
1334-Email/statement re sighting in Porto
apenso5_vol_6_p1334
1335-Continuation of page 1333
apenso5_vol_6_p1335
1336 to 1338-Missing pages
apenso5_vol_6_p1336
MISSING PAGE
apenso5_vol_6_p1337
MISSING PAGE
apenso5_vol_6_p1338
MISSING PAGE
1339 to 1340-Email re Crimestoppers log
apenso5_vol_6_p1339
apenso5_vol_6_p1340
1341-Statement from South Wales Police re sighting
apenso5_vol_6_p1341
1342 to 1343-Missing pages
apenso5_vol_6_p1342
MISSING PAGE
apenso5_vol_6_p1343
MISSING PAGE
1344-Statement re sighting in Siena, Italy
apenso5_vol_6_p1344
1345 to 1346-External diligence re sighting in Bara S. Miguel
apenso5_vol_6_p1345
apenso5_vol_6_p1346
1347 to 1348-Statement re sighting in Alcocebre
apenso5_vol_6_p1347
apenso5_vol_6_p1348
1349-SOCA International enquiry form re Alcocebre, Spain sighting
apenso5_vol_6_p1349
1350-Email from DC Hughes re sighting
apenso5_vol_6_p1350
1351 to 1352-Blank document/report
apenso5_vol_6_p1351
apenso5_vol_6_p1352
1353-Copy of page 1349
apenso5_vol_6_p1353
1354-Copy of page 1350
apenso5_vol_6_p1354
1355-Statement re Alcocebre, Spain sighting
apenso5_vol_6_p1355
1356-Blank report
apenso5_vol_6_p1356
1357-Copy of page 1349
apenso5_vol_6_p1357
1358-Email from DC Hughes (copy)
apenso5_vol_6_p1358
1359 to 1360-Service information re sighting in hotel in Andorra
apenso5_vol_6_p1359
apenso5_vol_6_p1360
1361-Fax re Andorra sighting
apenso5_vol_6_p1361
1362-Confirmation of fax
apenso5_vol_6_p1362
1363-Fax re Andorra sighting
apenso5_vol_6_p1363
1364-Copy of child's passport
apenso5_vol_6_p1364
1365 to 1366-Copy of adult passports
apenso5_vol_6_p1365
apenso5_vol_6_p1366
apenso5_vol_6_p1366a
1367-Statement re sighting in Alagoa-Altura
apenso5_vol_6_p1367
1368 to 1373-Document re diligence carried out in Spain
apenso5_vol_6_p1368
apenso5_vol_6_p1369
apenso5_vol_6_p1370
apenso5_vol_6_p1371
apenso5_vol_6_p1372
apenso5_vol_6_p1373
1374-Missing page
apenso5_vol_6_p1374
MISSING PAGE
1375 to 1377-Service information re Benny Marshall sighting in Torremelinos
apenso5_vol_6_p1375
apenso5_vol_6_p1376
apenso5_vol_6_p1377
1378 to 1379-Service information re sighting in Nazare
apenso5_vol_6_p1378
apenso5_vol_6_p1379
1380-Vehicle registration search
apenso5_vol_6_p1380
1381-Service information re Benny Marshall sighting in Torremelinos
apenso5_vol_6_p1381
1382 to 1383-Service information re anonymous tip re whereabouts
apenso5_vol_6_p1382
apenso5_vol_6_p1383
1384-Fax from Secol Tour Operator
apenso5_vol_6_p1384
1385-Email from psychic re vision of Madeleine on cargo of ship?
apenso5_vol_6_p1385
1386 to 1389-M/V nationality Breakdown (Oporto) 2007.05.29
apenso5_vol_6_p1386
apenso5_vol_6_p1387
apenso5_vol_6_p1388
apenso5_vol_6_p1389
1390-Missing page
apenso5_vol_6_p1390
MISSING PAGE
1391-NIL list from ship log
apenso5_vol_6_p1391
1392-Confirmation of fax
apenso5_vol_6_p1392
1393-Service information re 'Andrea' ship/vessel
apenso5_vol_6_p1393
1394-Confirmation of fax
apenso5_vol_6_p1394
1395-Copy of page 1393
apenso5_vol_6_p1395
1396 to 1397-Further service information re Andrea ship/vessel
apenso5_vol_6_p1396
apenso5_vol_6_p1397
1398-Fax from Secol Tour Operator
apenso5_vol_6_p1398
1399-Copy of page 1385
apenso5_vol_6_p1399
1400 to 1405-Copy of pages 1386 to 1389 and page 1391
apenso5_vol_6_p1400
apenso5_vol_6_p1401
apenso5_vol_6_p1402
apenso5_vol_6_p1403
apenso5_vol_6_p1404
apenso5_vol_6_p1405
1406 to 1407-Email re Marrakesh lead
apenso5_vol_6_p1406
apenso5_vol_6_p1407
1408 to 1409-Statement re sighting in Torremelinos, Spain
apenso5_vol_6_p1408
apenso5_vol_6_p1409
1410-Missing page
apenso5_vol_6_p1410
MISSING PAGE
1411-Statement re sighting in Aylesbury
apenso5_vol_6_p1411
1412-Statement re sighting in Malta
apenso5_vol_6_p1412
1413 to 1414-Statement re sighting in Malta
apenso5_vol_6_p1413
apenso5_vol_6_p1414
1415-Missing page
apenso5_vol_6_p1415
MISSING PAGE
1416 to 1417-Statement re sighting in Exmouth Road
apenso5_vol_6_p1416
apenso5_vol_6_p1417
1418-Missing page
apenso5_vol_6_p1418
MISSING PAGE
1419 to 1421-Statement re sighting in Suffolk
apenso5_vol_6_p1419
apenso5_vol_6_p1420
apenso5_vol_6_p1421
1422-Missing page
apenso5_vol_6_p1422
MISSING PAGE
1423 to 1425-Statement re sighting in Bari, Italy
apenso5_vol_6_p1423
apenso5_vol_6_p1424
apenso5_vol_6_p1425
1426-Statement re sighting in Vila Nova de Gaia
apenso5_vol_6_p1426

TO HELP KEEP THIS SITE ON LINE PLEASE CONSIDER

Site Policy HOME PAGE Contact details