|
1758 to 1759-Email re
sighting on Orkut.com |
|
apenso5_vol_8_p1758 |
 |
|
apenso5_vol_8_p1759 |
 |
|
1760-Missing page |
|
apenso5_vol_8_p1760 |
|
MISSING PAGE |
|
1761-Statement re sighting
at Heathrow Airport |
|
apenso5_vol_8_p1761 |
 |
|
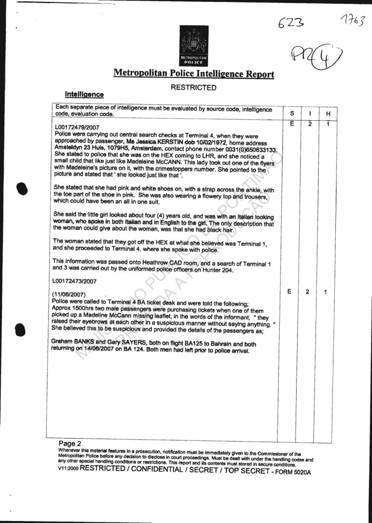
1762 to 1764-Metropolitan
Police Intelligence Report
|
|
apenso5_vol_8_p1762 |
 |
|
apenso5_vol_8_p1763 |
 |
|
apenso5_vol_8_p1764 |
 |
|
1765 to 1766-Email re
sighting in Gatwick Airport |
|
apenso5_vol_8_p1765 |
 |
|
apenso5_vol_8_p1766 |
 |
|
1767-Missing page |
|
apenso5_vol_8_p1767 |
|
MISSING PAGE |
|
1768-Statement re sighting
in Malta |
|
apenso5_vol_8_p1768 |
 |
|
1769 to 1777-Missing pages |
|
apenso5_vol_8_p1769 |
|
MISSING PAGE |
|
apenso5_vol_8_p1770 |
|
MISSING PAGE |
|
apenso5_vol_8_p1771 |
|
MISSING PAGE |
|
apenso5_vol_8_p172 |
|
MISSING PAGE |
|
apenso5_vol_8_p1773 |
|
MISSING PAGE |
|
apenso5_vol_8_p1774 |
|
MISSING PAGE |
|
apenso5_vol_8_p1775 |
|
MISSING PAGE |
|
apenso5_vol_8_p1776 |
|
MISSING PAGE |
|
apenso5_vol_8_p1777 |
|
MISSING PAGE |
|
1778-Email re sighting in
Spain |
|
apenso5_vol_8_p1778 |
 |
|
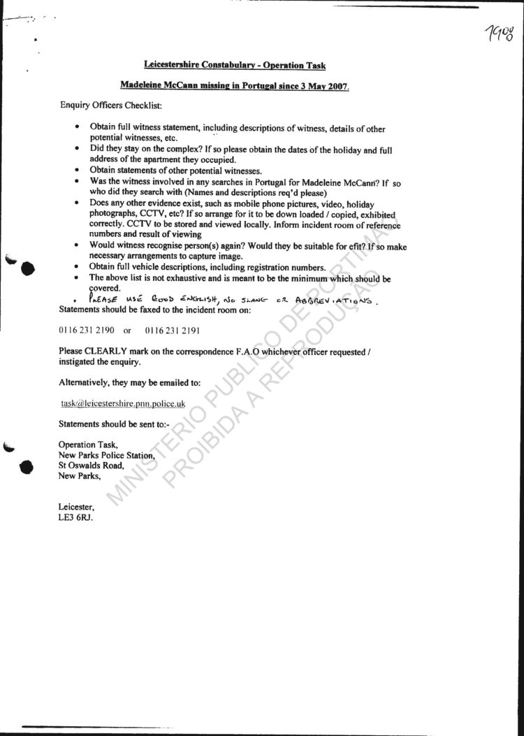
1779 to 1784-Leicestershire
constabulary detail sheet re
Peterborough sighting |
|
apenso5_vol_8_p1779 |
 |
|
apenso5_vol_8_p1780 |
 |
|
apenso5_vol_8_p1781 |
 |
|
apenso5_vol_8_p1782 |
 |
|
apenso5_vol_8_p1783 |
 |
|
apenso5_vol_8_p1784 |
 |
|
1785-Officer's report re
sighting in Torrevieca,
Spain |
|
apenso5_vol_8_p1785 |
 |
|
apenso5_vol_8_p1785a |
 |
|
1786 to 1787-Pages badly
copied and hard to read |
|
apenso5_vol_8_p1786 |
 |
|
apenso5_vol_8_p1787 |
 |
|
1788 to 1789-Officer's
report re sighting in
Bugibba |
|
apenso5_vol_8_p1788 |
 |
|
apenso5_vol_8_p1789 |
 |
|
1790-Email re verifications
of sighting in Spain |
|
apenso5_vol_8_p1790 |
 |
|
1791 to 1792-Crimestoppers
report re sighting in
Almancil |
|
apenso5_vol_8_p1791 |
 |
|
apenso5_vol_8_p1792 |
 |
|
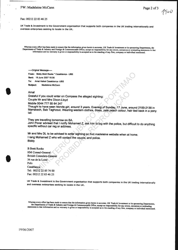
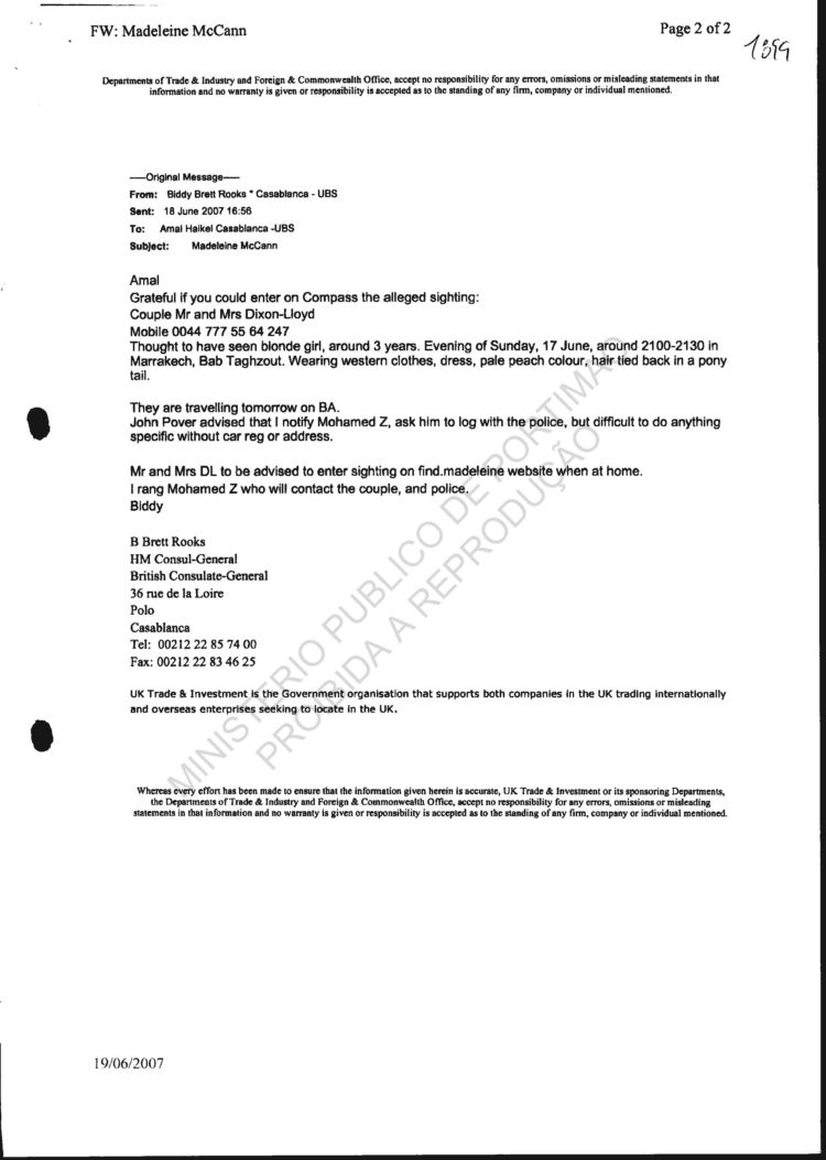
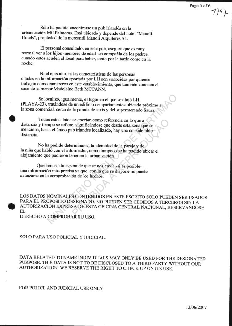
1793 to 1795-Email re
sighting in Mil Palmeras,
Spain |
|
apenso5_vol_8_p1793 |
 |
|
apenso5_vol_8_p1794 |
 |
|
apenso5_vol_8_p1795 |
 |
|
1796 to 1798-Email from
Interpol Spain re Mil
Palmeras sighting |
|
apenso5_vol_8_p1796 |
 |
|
apenso5_vol_8_p1797 |
 |
|
apenso5_vol_8_p1798 |
 |
|
1799 to 1801-Missing pages |
|
apenso5_vol_8_p1799 |
|
MISSING PAGE |
|
apenso5_vol_8_p1800 |
|
MISSING PAGE |
|
apenso5_vol_8_p1801 |
|
MISSING PAGE |
|
1802-Email re sighting on
Rhodes |
|
apenso5_vol_8_p1802 |
 |
|
1803-SOCA report re sighting
on Island of Rhodes |
|
apenso5_vol_8_p1803 |
 |
|
1804 to 1805-Email re
sighting if two males with
child in South Africa |
|
apenso5_vol_8_p1804 |
 |
|
apenso5_vol_8_p1805 |
 |
|
apenso5_vol_8_p1805a |
 |
|
1806-Fax cover sheet |
|
apenso5_vol_8_p1806 |
 |
|
1807-Statement re sighting
in Portugal |
|
apenso5_vol_8_p1807 |
 |
|
1808-Service information re
sighting in Morocco |
|
apenso5_vol_8_p1808 |
 |
|
1809-Email re sighting in
Malta |
|
apenso5_vol_8_p1809 |
 |
|
1810 to 1811-Kent Police
report |
|
apenso5_vol_8_p1810 |
 |
|
apenso5_vol_8_p1811 |
 |
|
1812 to 1814-Missing pages |
|
apenso5_vol_8_p1812 |
|
MISSING PAGE |
|
apenso5_vol_8_p1813 |
|
MISSING PAGE |
|
apenso5_vol_8_p1814 |
|
MISSING PAGE |
|
1815-Kent Police Restricted
Officer's Report |
|
apenso5_vol_8_p1815 |
 |
|
apenso5_vol_8_p1815a |
 |
|
1816-Document regarding
correspondence from IP Roma |
|
apenso5_vol_8_p1816 |
 |
|
1817-Document re sighting in
Italy |
|
apenso5_vol_8_p1817 |
 |
|
1818-Email re sighting in
Cleveland, Ohio |
|
apenso5_vol_8_p1818 |
 |
|
1819 to 1820-Police Incident
Message re sighting |
|
apenso5_vol_8_p1819 |
 |
|
apenso5_vol_8_p1820 |
 |
|
1821-Missing page |
|
apenso5_vol_8_p1821 |
|
MISSING PAGE |
|
1822-Email re crimestoppers
message |
|
apenso5_vol_8_p1822 |
 |
|
1823 to 1824-Missing pages |
|
apenso5_vol_8_p1823 |
|
MISSING PAGE |
|
apenso5_vol_8_p1824 |
|
MISSING PAGE |
|
1825 to 1826-Email re
sighting in Palermo, Italy |
|
apenso5_vol_8_p1825 |
 |
|
apenso5_vol_8_p1826 |
 |
|
1827 to 1829-Service
Information re sighting near
Hotel Monumental Lido |
|
apenso5_vol_8_p1827 |
 |
|
apenso5_vol_8_p1828 |
 |
|
apenso5_vol_8_p1829 |
 |
|
1830-Missing page |
|
apenso5_vol_8_p1830 |
 |
|
1831-Email re sighting in
Messines |
|
apenso5_vol_8_p1831 |
 |
|
1832-Missing page |
|
apenso5_vol_8_p1832 |
|
MISSING PAGE |
|
1833 to 1834-Incident report
re sighting in Spain |
|
apenso5_vol_8_p1833 |
 |
|
apenso5_vol_8_p1834 |
 |
|
1835-Leicestershire
Constabulary Officer's
Report |
|
apenso5_vol_8_p1835 |
 |
|
1836-Missing page |
|
apenso5_vol_8_p1836 |
|
MISSING PAGE |
|
1837 to 1838-Email re
third-party sighting |
|
apenso5_vol_8_p1837 |
 |
|
apenso5_vol_8_p1838 |
 |
|
1839-Missing page |
|
apenso5_vol_8_p1839 |
|
MISSING PAGE |