OFFICIAL INQUIRY FILES and DOCUMENTS
OUTROS APENSOS ANALYSIS of 11 VOLUMES (File 12)

This information belongs to the Ministério Público in Portimão, Portugal.
It was released to the public on 4 August 2008 in accordance with Portuguese Law

This file, 113 pages in total, has no written page numbers. It consists of a detailed analysis/report of the first 11 volumes of the investigation (pages 1 to 3004) re the mobile phone antennas activated and other calls made during the period under investigation. It includes the detailed chart (diagrammatic) created by the PJ re phone calls made by the Tapas 9 and others.
Relatorio_de_analise   dos primeiros 11_volumes_Page1a
Relatorio_de_analise   dos primeiros 11_volumes_Page1b
Relatorio_de_analise   dos primeiros 11_volumes_Page1c
Relatorio_de_analise   dos primeiros 11_volumes_Page1d
Relatorio_de_analise   dos primeiros 11_volumes_Page1e
Relatorio_de_analise   dos primeiros 11_volumes_Page1f
Relatorio_de_analise   dos primeiros 11_volumes_Page1g
Relatorio_de_analise   dos primeiros 11_volumes_Page1h
Relatorio_de_analise   dos primeiros 11_volumes_Page1i
Relatorio_de_analise   dos primeiros 11_volumes_Page1j
Relatorio_de_analise   dos primeiros 11_volumes_Page1k
Relatorio_de_analise   dos primeiros 11_volumes_Page1l
Relatorio_de_analise   dos primeiros 11_volumes_Page1m
Relatorio_de_analise   dos primeiros 11_volumes_Page1n
Relatorio_de_analise   dos primeiros 11_volumes_Page1o
Relatorio_de_analise   dos primeiros 11_volumes_Page1p
Relatorio_de_analise   dos primeiros 11_volumes_Page1q
Relatorio_de_analise   dos primeiros 11_volumes_Page1r
Relatorio_de_analise   dos primeiros 11_volumes_Page1s
Relatorio_de_analise   dos primeiros 11_volumes_Anexo1
Relatorio_de_analise   dos primeiros 11_volumes_Anexo2
Relatorio_de_analise   dos primeiros 11_volumes_Anexo2a
Relatorio_de_analise   dos primeiros 11_volumes_Anexo3
Relatorio_de_analise   dos primeiros 11_volumes_Anexo4
Relatorio_de_analise   dos primeiros 11_volumes_Anexo5
Relatorio_de_analise   dos primeiros 11_volumes_Anexo6
Relatorio_de_analise   dos primeiros 11_volumes_Anexo7
Relatorio_de_analise   dos primeiros 11_volumes_Anexo8
Relatorio_de_analise   dos primeiros 11_volumes_Anexo9
Relatorio_de_analise   dos primeiros 11_volumes_Anexo10
Relatorio_de_analise   dos primeiros 11_volumes_Anexo11
Relatorio_de_analise   dos primeiros 11_volumes_Anexo12
Relatorio_de_analise   dos primeiros 11_volumes_Anexo13
Relatorio_de_analise   dos primeiros 11_volumes_Anexo14
Relatorio_de_analise   dos primeiros 11_volumes_Anexo15
Relatorio_de_analise   dos primeiros 11_volumes_Anexo16
Relatorio_de_analise   dos primeiros 11_volumes_Anexo17
PAGE 17 MISSING PAGE
Relatorio_de_analise   dos primeiros 11_volumes_Anexo18
Relatorio_de_analise   dos primeiros 11_volumes_Anexo19
PAGE19 MISSING PAGE
Relatorio_de_analise   dos primeiros 11_volumes_Anexo20
Relatorio_de_analise   dos primeiros 11_volumes_Anexo21
Relatorio_de_analise   dos primeiros 11_volumes_Anexo22
Relatorio_de_analise   dos primeiros 11_volumes_Anexo23
Relatorio_de_analise   dos primeiros 11_volumes_Anexo24
Relatorio_de_analise   dos primeiros 11_volumes_Anexo25
Relatorio_de_analise   dos primeiros 11_volumes_Anexo26
Relatorio_de_analise   dos primeiros 11_volumes_Anexo27
Relatorio_de_analise   dos primeiros 11_volumes_Anexo28
Relatorio_de_analise   dos primeiros 11_volumes_Anexo29
Relatorio_de_analise   dos primeiros 11_volumes_Anexo30
PAGE 30 MISSING PAGE
Relatorio_de_analise   dos primeiros 11_volumes_Anexo31
Relatorio_de_analise   dos primeiros 11_volumes_Anexo32
Relatorio_de_analise   dos primeiros 11_volumes_Anexo33
Relatorio_de_analise   dos primeiros 11_volumes_Anexo34
Relatorio_de_analise   dos primeiros11_volumes_Anexo35
Relatorio_de_analise   dos primeiros 11_volumes_Anexo36
Relatorio_de_analise   dos primeiros 11_volumes_Anexo37
Relatorio_de_analise   dos primeiros 11_volumes_Anexo38
Relatorio_de_analise   dos primeiros 11_volumes_Anexo39
Relatorio_de_analise   dos primeiros 11_volumes_Anexo40
Relatorio_de_analise   dos primeiros 11_volumes_Anexo41
Relatorio_de_analise   dos primeiros 11_volumes_Anexo42
Relatorio_de_analise   dos primeiros 11_volumes_Anexo43
Relatorio_de_analise   dos primeiros 11_volumes_Anexo44
Relatorio_de_analise   dos primeiros 11_volumes_Anexo45
Relatorio_de_analise   dos primeiros 11_volumes_Anexo46
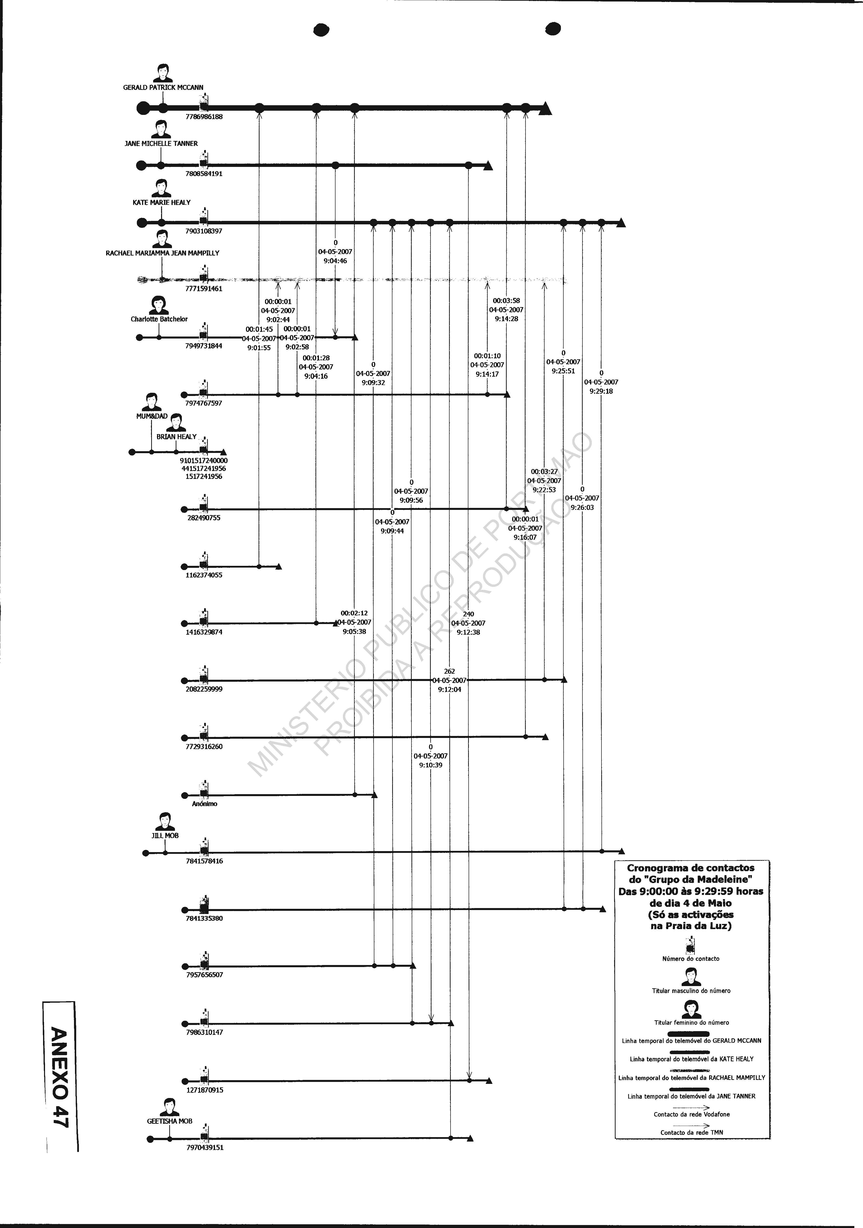
Relatorio_de_analise   dos primeiros 11_volumes_Anexo47
Relatorio_de_analise   dos primeiros 11_volumes_Anexo48
Relatorio_de_analise   dos primeiros 11_volumes_Anexo49
Relatorio_de_analise   dos primeiros 11_volumes_Anexo50
Relatorio_de_analise   dos primeiros 11_volumes_Anexo51
Relatorio_de_analise   dos primeiros 11_volumes_Anexo52
Relatorio_de_analise   dos primeiros 11_volumes_Anexo53
Relatorio_de_analise   dos primeiros 11_volumes_Anexo54
Relatorio_de_analise   dos primeiros 11_volumes_Anexo55
PAGE 55 MISSING PAGE
Relatorio_de_analise   dos primeiros 11_volumes_Anexo56
Relatorio_de_analise   dos primeiros 11_volumes_Anexo56a
57-to 67 Anexo57 to Anexo67 Crèche
Relatorio_de_analise   dos primeiros 11_volumes_Anexo57
Relatorio_de_analise   dos primeiros 11_volumes_Anexo58
Relatorio_de_analise   dos primeiros 11_volumes_Anexo59
Relatorio_de_analise   dos primeiros 11_volumes_Anexo60
Relatorio_de_analise   dos primeiros 11_volumes_Anexo61
Relatorio_de_analise   dos primeiros 11_volumes_Anexo62
Relatorio_de_analise   dos primeiros 11_volumes_Anexo63
PAGE 63 MISSING PAGE
Relatorio_de_analise   dos primeiros 11_volumes_Anexo64
PAGE 64 MISSING PAGE
Relatorio_de_analise   dos primeiros 11_volumes_Anexo65
Relatorio_de_analise   dos primeiros 11_volumes_Anexo66
Relatorio_de_analise   dos primeiros 11_volumes_Anexo67
Relatorio_de_analise   dos primeiros 11_volumes_Anexo67a
Relatorio_de_analise   dos primeiros 11_volumes_Anexo68
Relatorio_de_analise   dos primeiros 11_volumes_Anexo69
Relatorio_de_analise   dos primeiros 11_volumes_Anexo70
Relatorio_de_analise   dos primeiros 11_volumes_Anexo71
Relatorio_de_analise   dos primeiros 11_volumes_Anexo72
Relatorio_de_analise   dos primeiros 11_volumes_Anexo73
Relatorio_de_analise   dos primeiros 11_volumes_Anexo73a
Relatorio_de_analise   dos primeiros 11_volumes_Anexo74
Relatorio_de_analise   dos primeiros 11_volumes_Anexo75
Relatorio_de_analise   dos primeiros 11_volumes_Anexo76
Relatorio_de_analise   dos primeiros 11_volumes_Anexo77
Relatorio_de_analise   dos primeiros 11_volumes_Anexo78
Relatorio_de_analise   dos primeiros 11_volumes_Anexo79
Relatorio_de_analise   dos primeiros 11_volumes_Anexo80
Relatorio_de_analise   dos primeiros 11_volumes_Anexo81
Relatorio_de_analise   dos primeiros 11_volumes_Anexo82
Relatorio_de_analise   dos primeiros 11_volumes_Anexo83
Relatorio_de_analise   dos primeiros 11_volumes_Anexo84
Relatorio_de_analise   dos primeiros 11_volumes_Anexo85
Relatorio_de_analise   dos primeiros 11_volumes_Anexo86
Relatorio_de_analise   dos primeiros 11_volumes_Anexo87
Relatorio_de_analise   dos primeiros 11_volumes_Anexo87a
Relatorio_de_analise   dos primeiros 11_volumes_Anexo88
Relatorio_de_analise   dos primeiros 11_volumes_Anexo88a
Relatorio_de_analise   dos primeiros 11_volumes_Anexo89
Relatorio_de_analise   dos primeiros 11_volumes_Anexo89a
Relatorio_de_analise   dos primeiros 11_volumes_Anexo90
Relatorio_de_analise   dos primeiros 11_volumes_Anexo91
Relatorio_de_analise   dos primeiros 11_volumes_Anexo91a
Relatorio_de_analise   dos primeiros 11_volumes_Anexo92
NOTE:
This is the second report demanded to a team of independent analysts from the Central Department of Criminal Investigation (Central Division of Information Analysis - PJ), dated from February 2008.
The references to the annexes and pages of the files were kept, just in order to allow anyone to ask for some particular document(s) to be translated ' I would do them ALL if I had the time, but I fear I won't be able to, so I'll be happy to go over those that you consider more interesting, if the request is rationally founded
.

 
ANALYSIS REPORT OF THE FIRST 11 VOLUMES OF THE INQUIRY (pages 1-3004) Central Department of Criminal Investigation, February, 8th, 2007

 

INTRODUCTION
 

 

In the continuity of the work already developed in reference to the analysis of the communications (voice phone calls, SMS and MMS), we proceeded, by solicitation of the DIC of Portimão, to the operational analysis of the Inquiry 201/07.0GALGS.

For that matter, we were delivered a copy, on digital format, of the 11 volumes (pags 1 to 3004), that constituted the process at that time; discs and maps with the registration of the phone contacts of the arguido Robert Murat, his mother Jennifer Murat, the witnesses Michaela Walazuch, Luis António and Sergey Malinka; registrations and maps of the calls made from public booths in Praia da Luz; copies of the videos made during the cynotechnic searches.

With this amount of information (interviews, inquests, etc.), we pretended to clarify what had happened on the night of May the 3rd, 2007, in the apartment 5A, of the resort named Praia da Luz Ocean Club, and to find any element that could lead to the identification of the author of the facts.

To realize the requested analysis, it was used the informatics tools: Analyst Notebook V.6 and Excel, for the realization of the Graphs (charts) and tables, of which we annex those considered pertinent; and we used the database of this police ' SPO.

Throughout our work we were frequently contacted by colleagues that were on the field, in the attempt to verify if a certain mobile phone number had activated any antenna, of the 3 national operators, that serve Praia da Luz on any of the 3 days that we have registers for.


METHODOLOGY

In the first phase, we proceeded to a careful reading of the files taking notes of the elements that could contribute, in any way, to the composition of the chronograms of the facts. From that reading is clear that much of the proof is testimonial.

So, at this phase, we compared the declarations of the Ocean Club's employees with the phone registries of the 3 operators, to figure out if there is any incongruence between the depositions made and their presence at the place, when they claimed that they were absent from that locality.

Following this line of reasoning it was determined that two witnesses ' Bernardino (pag. 372) and Ecaterina (pag 596) ' activated one of the antennas, beyond the time that they stated having left that area.
After this phase, Excel tables were created based on the depositions of the different intervenients, the maps with the registry of the entrance and exits of the crêches, the R.D.E. and other information. From these maps charts were created (in annex).

On these charts we find:
- Timelines of entities

- Boxes of events

[Note: figures are not exhibited here for difficulties with edition]

As the Analyst Notebook executes automatically the correlations that it finds on the tables with the data, it's up to the analyst to read it, and according with the results, to enunciate one or more hypothesis.

So, apart from the traces recovered on that occasion and on others, both from the apartment 5A, as from the residence of Robert Murat, and from its analysis, this report is based on the statements of the several intervenients that are translated on the annexed charts.

These are separated by the following types: first declarations; second declarations; third declarations; R.D.E.; Registry pages from the crêches; telephone contacts; and others.

This categorization was made in order to find any discrepancy on the depositions of the different witnesses and arguidos. That is, we aimed to check if there were significant changes in their statements.

The statements were then reproduced on a graphic form, being the personal or group routines represented on daily graphs. For instance, if a witness declared that on the 29th had lunch at home, and that was their routine until the 3rd, that event will appear on the graphs for those days. Those situations can be observed when on the 'event's boxes' the word ROUTINE appears.

This procedure was adopted for the graphs based on the first depositions and Rs.D.E. The graphs for the second and second statements this method was not used, because we chose to make graphs for the new elements supplied by the witnesses, avoiding, this way, to repeat everything that had been done for the first depositions.


DEVELOPMENT

From the declarations of the various intervenients, it was clear that when the GNR arrived at the place, several persons had already handled the window and entered the room of Madeleine and her siblings, which means that the space had been occupied by other individuals. It possibly explains the scarcity of probational elements recovered on the first phase. It's a fact that the only latent fingerprints recovered, with the necessary elements for a positive identification belonged to the mother of the missing child and to a member of the GNR (page. 885 and 1520).

One of the fundamental principles of the investigation is connected with the data recovered on the crime scene since the first moment. If that place had already been visited by third parties, the elements that eventually could be recovered, may lead to the construction of scenarios quite different from what really happened. Most of the times that 'change' is such that it compromises, or at least, limits the recovery of eventual traces that might exist on the crime scene.

The lack of the preservation of the space, as the investigation principles demand, was such that on the several vestiges recovered, on the afternoon of the day after the disappearance of the child, by a SCI team of the Scientific Police Laboratory (pag. 2307), after laboratory analysis for the identification of DNA, it was revealed the presence of non-human hair (pags. 2432, passim).

This team searched for any substance that could have been administered to the missing child in order to keep her under an unconscious state and/or the presence of blood traces.

According to the statements, the life of the group followed a daily routine. After having breakfast, at the apartment (in the case of the Mccann) or at the Millennium restaurant, they placed the children at their respective creches. Then the adults went for several sports' activities (tennis, sailing, etc).

Around lunch time, they went for the kids at the creche and had lunch with them at the apartments.
In the afternoon some of the children (McCann children and the eldest of O'Brien/Tanner) were placed at the creches, while the others were kept with the parents.

Some adults returned to their sports' activities while others went for other activities, normal for people on holidays.

After feeding the children, which happened close to the Tapas bar/restaurant, under the supervision of the nannies, they took them to put them to bed after making their hygiene.

Afterwards, with the children already asleep, the adults went to the restaurant for dinner (annexes 2 to 37, based on the statements; and annexes 57 to 67, based on the Rs.D.E. and crêche's registration).

Based on the several testimonies, it's demonstrated that we are in the presence of a group of people, in holidays, with children, with a certain routine that is completely changed after the disappearance of Madeleine.

The mobile phone contacts, made and received by the elements of the group, registered by the 3 national operators, only corroborate that deduction for the days 2 to 4. It's clear that the mobile phones did not have much use and when they use it it's to call UK (annexes 38, 39).

On the day of the disappearance, the group routine was slightly different, not for the McCann family, they had the same ritual of placing the children on the creche to dedicate to the tennis practice in the after lunch.

However, the remaining elements of the group, in the afternoon, went to the beach, where they had high tea at the bars in that area (annexes 15, 16, 17, 27, 38 and 35).

On this last day, the last time that Madeleine was seen by someone not belonging to the family group or the friends' group, was at 17:30h, when she was returned to the parents by one of the nannies (annex 66, pag 105).

According to the narrative made by Kate and Gerald, after putting the children in bed, they got out for dinner, with the children asleep.

According to an agreement, accepted tacitly by everyone, the supervision of the children was made in a way where they took turns on that task, so the children would not be unsupervised for periods longer than 15 to 30 minutes.

On that fateful night, the first one to go to the apartments was Mathew Oldfield, who made their check based on audition. He listened, and it was not possible to find out if at the windows or at the doors, if any noise was coming from the inside of the apartments.

He was followed by Gerald McCann. This one entered into his apartment, at about 21:05 h, and aw his children asleep, he got out and followed towards the Tapas. In the way he met the witness Jeremy Wilkins, with whom he maintained a small conversation.

Meanwhile, Jane Tanner, another element of the group, left the table and went to her apartment. On the way she saw Gerald talking to Jeremy ('Jezz') ' Amazingly, none of them saw her. On that occasion, at about 21:15h, Jane saw at the top of the street, a male individual crossing the road, holding a child.

Later, around 21:30h, Mathew went back to check the children, and on that occasion he entered through the window/door of the living room, in the apartment of the McCann. He saw the twins sleeping in their cots, but he didn't see Madeleine, due to the position of the bed where she was sleeping.

By 22:00h, it was Kate's turn to proceed to the verification of how her children were, and that's why it was her that noticed the absence of her daughter and gave the alert to the other members of the group.

There were several intervenients on the initial searches amongst the Ocean's employees, residents and guests.
To get the physical context f the place where the facts occurred, a visit was made. This way, it was evident that when sit at a table where the one that was used by the nine, at the Tapas restaurant, it was impossible to see the totality of the back of the apartment where the McCann stayed. It was even possible that a person entered the apartment without being seen from that position.



HYPOTHESES

From the analysis emerges one concrete FACT:
MADELEINE MCCANN DISAPPEARED FROM THE APARTMENT WHERE SHE WAS LODGED WITH HER FAMILY.
This fact raises 2 preferential hypotheses:

1- Kidnapping performed by unknown(s); and/or

2- Violent/accidental death occurring inside the apartment and posterior removal of the body to an unknown place.


1.1. The first hypothesis is based on the following data:

a) It was Kate Healy that found out that her daughter was missing (pag. 61). When Kate arrives at the apartment to check the children, she found out that Madeleine was absent and that her children's bedroom door was completely open, which was not usual, and that the window that gives access to the exterior was also opened, the shutters opened and the curtains opened to the sides.

b) Gerald McCann, the father, at around 21:05h, had seen her on the bed (pag 37, lines 73-76). After the alarm given by his wife, he realized that the window was opened to one of the sides, the shutters almost entirely raised up and the curtains opened to the sides. Madeleine's bed was empty, but the twins were still on their cots sleeping (pag 901).

c) Mathew Oldfield, one of the friends that enters the apartment of the McCann before the mother gives the alarm, didn't check inside the room of the children, if Madeleine was there, only seeing the twins (page 54); after Kate gave the alarm he also saw the window of the children's room opened and its shutter raised. As he referred there was no sign of a breakthrough in the apartment doors (page 55).

d) Jane Tanner, a friend, that at the moment when Kate give the alarm was at home taking care of her daughter, but declares to have seen, at 21:15h, an individual crossing the street she was going up to, from the left to the right, holding a child (pag 46).

e) (It was possible to add the rest of the elements of the group, however in our understanding an analysis report is not a final report, so we are just going to mention the first witness outside the group that became aware of the despair of Kate, while she cried for her daughter and reprimanded herself for having left her alone)
Pamela Fenn, resident at the apartment just above the one were the incident occurred (p. 2413).

This witness also referred that on the night of day 1 (NOTE: by the way it is written it means May 1st) she heard a child and not a baby, crying for about 1:30 h, and that this sound came from the apartment below hers. This statement contradicts the version presented by the group that they were checking the children every 15 or 30 minutes.

There are no witnesses that have watched whatever happened. Also there are no traces that may lead to the author of the facts denounced by Gerald McCann.

Apart from the witness Jane Tanner, there other 3 witnesses, all of the same family ' Martin, Aiofe and Peter Smith, respectively father, daughter and son ' that around 22:00h, have seen an individual carrying a child, in a place opposed to the one where the other witness claims to have seen the other suspect, if we use as reference the McCann apartment.

Still on the kidnapping side, Robert Murat, at a certain time of the investigations, became a suspect of the crime.

Let's enumerate some facts that led to such a suspicion, and demonstrate some important aspects that must be taken into account by the investigation, that result from data within the files.

Reasons that led to the suspicion:

a) According to a British journalist, R. Murat started having suspicious attitudes close to those professionals of the British media. He didn't want to be photographed and didn't give any identification element apart from his nick name ' 'ROB' (pag. 308).

b) His residence was in the direction that, according to Jane, was taken by the unknown that was carrying a child (pag.46).

c) The attitudes taken by him and referred on page 329.

d) Anonymous denounce that suggests that he was an individual that frequently viewed sites of 'heavy sexual contents' (page 461).

e) His behaviour while acting as a translator, showing an unusual interest, that surpassed the functions for which he was nominated, he showed curiosity about the diligences that had been realised and the ones that were to be performed (page 960, passim).

f) Having been present on the night of the facts, according to the declarations of Rachel Mampilly (pag 1296); Fiona Payne (1323) and Russell (page 1945).

From the analysis it results that Murat arrived in Portugal, coming from Britain on May the 1st, his mother went to get him from the airport (annex 68).

From the acts ('autos') it is deprehended that a very strong relationship exists between Robert and Michaela, and that they try to be together, whenever it's possible. On the same day of his arrival, immediately after passing by his home, he went to visit her in Lagos, where Michaela resides with her husband and daughter.

On the 2nd and 3rd, they declared to have ben together. According to the antennas they activated, on those two days, they stayed within the Lagos area.

When they are not together they contact by mobile phone, which occurs at the end of the day, compare the annexes 68 and 75; and 70, 71 and 79.

On the 3rd, they were together all day, according to their statements that originated the annexes 70 to 72.

They met at 9:30h and were around the Lagos area in meetings and at Michaela's house. Around 19:30h, Murat left her place and returned to Praia da Luz. During the period they were together there are no phone contacts between the two.

They only establish that sort of contact at 23:20h, having Michaela called Murat after, according to the statements on pag 1184 and 1544, arriving home from the church meeting she frequents.

Only the witnesses Rachael Mampilly, Fiona Payne and Russell O'Brien, without we understanding why, state that they saw him on the night of the facts, helping as a translator the members of the GNR. However they are the only ones to stand that. Several witnesses denied that fact. Some of those witnesses are residents at Praia da Luz and know Robert, from sight, for several years (annexes 72 and 73).

The mother refers that Murat stayed at home all the time, close to her, after having entered at 19:30h.
Nothing of interest resulted from the searches realised to his residence, that allowed to infer that he was involved, in any way, on the disappearance of Madeleine. That is, no traces of the presence of Madeleine were found on the places accessed by Robert.

The exams performed by the Medical Forensic Laboratory to the hair found at his residence and vehicles (page 2426), the DNA recovered was of the haplotype of Robert Murat.

From the analysis realised to every communication, since November the 1st, 2006 until July 19th, 2007, of Robert, Michaela, Sergey, Jennifer and Luis António, it's evident that Robert and Malinka only contacted each other 8 times, annex 87.

There is no relationship between Sergey and Luis António, and between this last one and Robert, neither between those two and the residence of Robert Murat, between April 30th and May 4th (annexes 82 to 86).

2.1. The hypothesis of death is based on the following:

a) The witness Silvia Batista, page 1977, refers that at 3:00 h, May 4th, the couple asked for a priest, which she found strange since there was at that time any indication that the child was dead, and it is 'under those circumstances that usually the presence of a priest is demanded' (sic).

b) The search dog 'Eddie' (dog that signals the presence of cadaver odour) 'marked' (gave a signal) in the couples bedroom, at the apartment 5A, on an area close to the wardrobe (page 2054, and/or annex 88)

c) That same dog 'marked', in the same apartment, an area close to the window of the living room, which has a direct access to the street, behind the sofa (page. 2054 and/or annex 88)

d) Still in the apartment, the dog 'marked' an area in the garden, at the corner, down the vertical from the veranda (page 2054 and/or annex 88).

e) At the villa 'Vista do Mar', the house rented by the McCann after leaving the Ocean Club, the dog 'marked' the area of the closet that contained in its interior the soft toy belonging to Madeleine (cf. page. 2099 and/or annex 88)

f) From the exam to the clothing performed in a pavilion in Lagos, this same dog 'marked' some pieces of clothes that belonged to Kate Healy (pag 2101 and /or annex 88)

g) This dog signalled the exterior and interior parts, of the driver's door, of the Renault 59-DA-27 ' rented by the McCann (page. 2187 and /or annex 88)

h) Finally he 'marked' the key/card of this vehicle when hidden in a sand box (pag 2187 and/or annex 88)

i) The search dog, named 'Keela' (a she dog that detects the presence of human blood) 'marked' an area in the living room, in the apartment 5A, that had been 'marked' by the dog 'Eddy' (pag. 2054 and/or annex 88)

j) After the mosaics that this dog signalled had been retired, on a first inspection, and mentioned previously, she marked that same area once more (pag 2190 and/or annex 88)

k) She 'marked' also the inferior side of the left side curtains, of the window referred above (page 2190 and/or annex 88)

l) She 'marked' the inferior lateral right side, in the inside of the booth of the car 59-DA-27 (page 2187 and/or anex 88)

m) In what concerns the vehicle, 'Keela' 'marked' the little compartment of the driver's door, that contained the key/card of the vehicle (pag 2187 and/or annex 88)

n) This dog also 'marked' the key/card when the same was hidden into a sand box.

It should be noted the report made by the trainer /owner of these dogs. On this report it's mentioned the methodology of training:

'Eddie, the dog with an advanced training to detect mortal victims (E.V.R.D.), searches and locates human remains and body fluids, including blood, in any environment or terrain. The initial training of the dog was done with human blood and decaying piglets that were born dead. The importance of this training is that the dog learnt to identify the odour of a decaying body that is not food. This guaranties that the dog ignores the 'bacon sandwich' and the 'kebab', etc. that are always present in the environment. Besides that the dog will not alert to a meal prepared at home or on any other place. For instance, the dog will be efficient on searching a cadaver in café where the clients can be sitted eating a bacon sandwich. As a complement of this training, the dog receives an additional training in the USA, in association with the FBI, in which will be used exclusively human remains' (sic) (page 2493 and 2494).

This summarized description raises a question that we would like to see answered: could the dog be 'marking' not the odours emanated from a cadaver, directly or indirectly (by contagious), but from blood in putrefaction'

These dogs are means for obtaining proof but they cannot be used as proof. They must be taken as instruments. Any vestige, even invisible to the eye, recovered with the use of these dogs, has to be subjected to forensic exam on a credited laboratory.

It is the same Martin Grime that, at pages 2271, refers on his report: 'Although it cannot constitute proof admissible to court, it can help on the recovery of intelligence for the investigation of serious crimes'.

In this case the dogs signalled several places. The technicians of the Scientific Police Laboratory recovered those vestiges ' vestiges that that on it's majority were not visible to the eye ' and sent them to the laboratories for the necessary forensic exams, in order to recover and identify the DNA profiles, that might be extracted from them.

From the screening of the videos, referred previously, done when the dogs were working, some doubts arise. We don't want and we can't take the place of the trainer, we only wish to alert, with this paragraph, to some facts, that according to us, need further clarification.

If the dog is trained to react when he detects what he is looking for, why, in most of the cases, we see the dog passing more than once by that place in an uninterested way, until he finally signals the place where he had already passed several times'

On one of the films, it's possible to see that 'Eddie' sniffs Madeleine's cuddle cat, more than once, bites it, throws it into the air and only after the toy is hidden does he 'mark' it (page 2099). Whys didn't he signal it when he sniffs it on the first time'

Apart from all that was said about the dogs, we must also take into attention the results of the forensic analysis that was performed by the experts on the Scientific Police Laboratory on the day immediately after the facts, and already mentioned where no vestige of blood was found.



OTHER

Besides the analysis of the charts with reference to the group that travelled with Madeleine and the 'group' of Robert Murat, other charts were made.

On the annex 89 it's represented the renting of the vehicle 59-DA-27, where it's signalled that the same was rented for the first time by Gerald McCann on May 27th, 2007, and kept until September 23rd, 2007. Which means that the vehicle entered under his possession 24 days after the disappearance of his daughter.

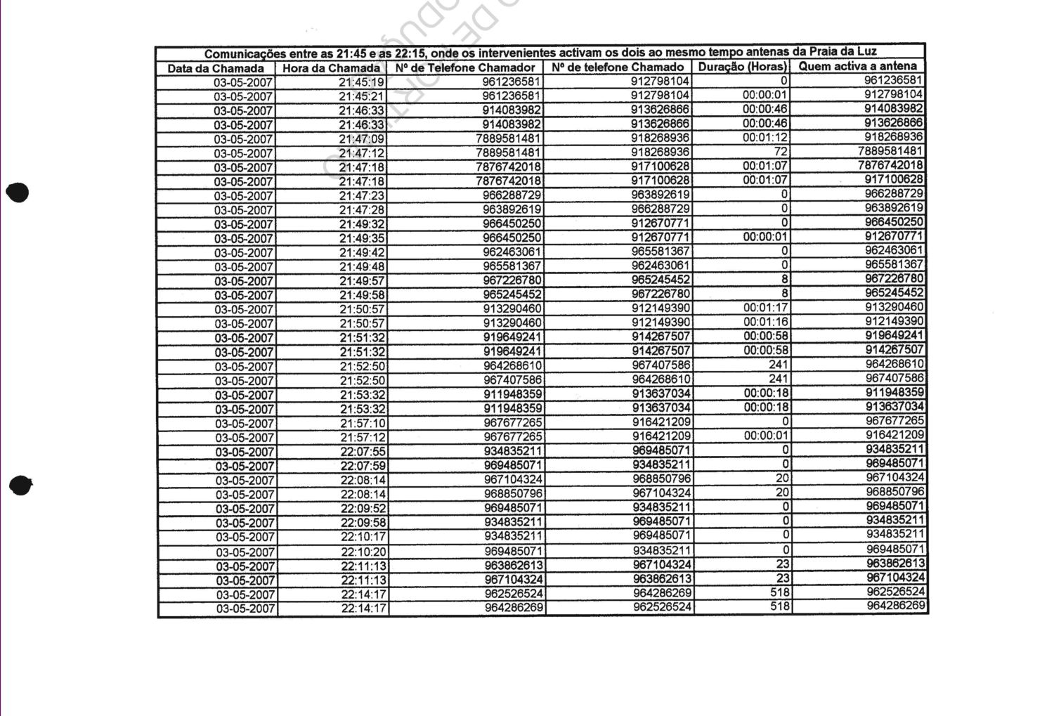
On the annex 90, there is a detailed analysis developed based on the hypothesis that the author of the kidnapping acted with the help of another individual, and that both activated on the same minute, only on the 3rd, one of the antennas at Praia da Luz. This means, they both would activate cells in Praia da Luz simultaneously. It was taken as reference the statements of Jane Tanner and Gerald McCann and it was admitted that this contact, short, had occurred between 21:00 and 21:20h.

The result of this analysis was communicated, in due time, to the colleagues, inspectors Rodrigues and Santos.
It was also to those colleagues that was transmitted the results of the analysis made, based on the same hypothesis (annex 91), but within the period 21:45h and 22:15h. This period has to do with the statement of the Smith family, Martin, Aoife and Peter, that declare to have seen a male individual carrying a child at around 22:00h.

The data analysed to make those charts and the Excel table, were the 74 thousand registrations supplied by the 3 operators, with reference to the activation of the antennas that serve Praia da Luz between May 2nd and 4th.

Based on the some descriptions made by the witnesses, other charts are represented on the annex 92, but they they do not reveal anything useful for the investigation.

More attention was given to the descriptions of the members of the Smith's family and Jane's, since in both there was a common element, the suspect transported a child, and also due to their temporal proximity. The rest of them were scattered in time and the descriptions were based on the fact that the individuals at a certain time had a suspicious attitude or aspect.

An analysis was also made to the numbers called from the public phone booths, but no useful element o the investigation was found. This data serve only, just like the 74 thousand registries of the operators, to eliminate eventual suspects.

Finally, it may be referred that from the analysis to the communications, in general, nothing relevant could be found.


RECOMMENDATIONS

From the analysis no noticeable discrepancies can be found from the depositions made by the intervenients, and also between those statements and other elements to which they were compared, namely, the registries of the crèches  entrances and exits of the children, registries of the tennis classes and phone calls.

However, as referred previously, there is a witness that declares to have heard, supposedly Madeleine McCann, crying for one and a half hours, without the parents getting into the apartment during that period.

This statement raises serious doubts about for how long the children were without supervision.

In the case of Murat, there are also no discrepancies on his statements.

From the mentioned above, we understand that the following recommendations must be made:

- On the hypothesis that there was death of the child, the results performed by the British Laboratory must be awaited, in order to assert what kind of vestiges were collected and if any of those can lead to the identification of Madeleine McCann's DNA profile.

- To obtain, from the trainers and supervisors of the dogs (ERVD and CSI), further enlightenings about the 'marking' and the friability of their work.

- Under the hypothesis of abduction, because there are no vestiges to lead to the author, we propose the waiting for a denounce or testimony that permits to obtain new elements of proof in order to achieve an identification.

 

TO HELP KEEP THIS SITE ON LINE PLEASE CONSIDER

Site Policy HOME PAGE Contact details