OFFICIAL INQUIRY FILES and DOCUMENTS
PROCESSO VOLUME 16A

This information belongs to the Ministério Público in Portimão, Portugal.
It was released to the public on 4 August 2008 in accordance with Portuguese Law

4128-4129-Opening of volume XVI on 2008.02.12

16_VOLUMEXVIa_Page_4128

16_VOLUMEXVIa_Page_4129

4130 to 4132-Missing pages

16_VOLUMEXVIa_Page_4130

MISSING PAGE
16_VOLUMEXVIa_Page_4131
MISSING PAGE
16_VOLUMEXVIa_Page_4132
MISSING PAGE
4133-Letter re: return of keys to S. Batista

16_VOLUMEXVIa_Page_4133

4134-Cover of fax re: Dublin correspondence (English)

16_VOLUMEXVIa_Page_4134

4135 to 4139-Additional statement from Martin Smith 2008.01.30 (English)

16_VOLUMEXVIa_Page_4135
16_VOLUMEXVIa_Page_4136
16_VOLUMEXVIa_Page_4137
16_VOLUMEXVIa_Page_4138
16_VOLUMEXVIa_Page_4139
4140-Email
16_VOLUMEXVIa_Page_4140
4141 to 4145-Portuguese translation of pages 4134 to 4139
16_VOLUMEXVIa_Page_4141
16_VOLUMEXVIa_Page_4142
16_VOLUMEXVIa_Page_4143
16_VOLUMEXVIa_Page_4144
16_VOLUMEXVIa_Page_4145
4146-Correction of page numbers in volume XII
16_VOLUMEXVIa_Page_4146
4147-Fax cover page re: translations
16_VOLUMEXVIa_Page_4147
4148 to 4149-Sighting from Fabregues
16_VOLUMEXVIa_Page_4148
16_VOLUMEXVIa_Page_4149
4150-Sighting in Barcelona Train Station
16_VOLUMEXVIa_Page_4150
4151-Public Ministry document re appendix
16_VOLUMEXVIa_Page_4151
4152-Letter from F. Pagarete re Murat
16_VOLUMEXVIa_Page_4152
4153-Letter from Attorney General
16_VOLUMEXVIa_Page_4153
4154-Letter re: return of Murat's confiscated possessions
16_VOLUMEXVIa_Page_4154
4155-Cover page re examination report
16_VOLUMEXVIa_Page_4155
4156 to 4159-Report of expert examination
16_VOLUMEXVIa_Page_4156
16_VOLUMEXVIa_Page_4157
16_VOLUMEXVIa_Page_4158
16_VOLUMEXVIa_Page_4159
4160 to 4162-Term of delivery
16_VOLUMEXVIa_Page_4160
16_VOLUMEXVIa_Page_4161
16_VOLUMEXVIa_Page_4162
4163 to 4165-Letter re: Mari Luz Cortes abduction 2008.04.03

16_VOLUME_XVIa_Page_4163

16_VOLUME_XVIa_Page_4164

16_VOLUME_XVIa_Page_4165

4166-Cover page re: expert examination

16_VOLUMEXVIa_Page_4166

4167 to 4182-Report of expert examination
16_VOLUMEXVIa_Page_4167
16_VOLUMEXVIa_Page_4168
16_VOLUMEXVIa_Page_4169
16_VOLUMEXVIa_Page_4170
16_VOLUMEXVIa_Page_4171
16_VOLUMEXVIa_Page_4172
16_VOLUMEXVIa_Page_4173
16_VOLUMEXVIa_Page_4174
16_VOLUMEXVIa_Page_4175
16_VOLUMEXVIa_Page_4176
16_VOLUMEXVIa_Page_4177
16_VOLUMEXVIa_Page_4178
16_VOLUMEXVIa_Page_4179
16_VOLUMEXVIa_Page_4180
16_VOLUMEXVIa_Page_4181
16_VOLUMEXVIa_Page_4182
4183-Communication Dispatch
16_VOLUMEXVIa_Page_4183
4184-Letter from S. Malinka requesting return of items confiscated
16_VOLUMEXVIa_Page_4184
4185-Documentation
16_VOLUMEXVIa_Page_4185
4186-Letter re information from Stuart Prior re: reconstruction
16_VOLUMEXVIa_Page_4186
4187-Email to Stuart Prior re reconstruction questions from Tapas 9 ( English)
16_VOLUMEXVIa_Page_4187
4188 to 4189-Letter from PJ regarding details of proposed reconstruction
16_VOLUMEXVIa_Page_4188
16_VOLUMEXVIa_Page_4189
4190 to 4192-Letter from PJ (Paulo Rebelo) regarding details of proposed reconstruction (English)
16_VOLUMEXVIa_Page_4190
16_VOLUMEXVIa_Page_4191
16_VOLUMEXVIa_Page_4192
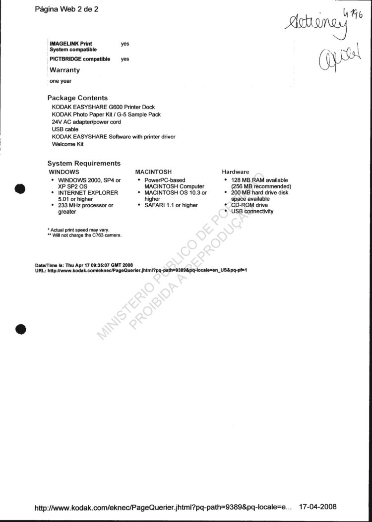
4193 to 4196-Witness statement of Amy Tierney 2008.04.17 with info on Kodak camera/printer
16_VOLUMEXVIa_Page_4193
16_VOLUMEXVIa_Page_4194
16_VOLUMEXVIa_Page_4195
16_VOLUMEXVIa_Page_4196
4197-Information re 10 x 15 photographs of Madeleine
16_VOLUMEXVIa_Page_4197
4198-Email from Stuart Prior (English)
16_VOLUMEXVIa_Page_4198
4199- Synopsis of Michael Terrence Wright's statement 2008.04.16 (English)
16_VOLUMEXVIa_Page_4199
4200-Portuguese translation of last paragraph in Wright's statement re: suspect
16_VOLUMEXVIa_Page_4200
4201 to 4202-Service information re: Wright's suspect statement
16_VOLUMEXVIa_Page_4201
16_VOLUMEXVIa_Page_4202
4203 to 4205-Diligences carried out
4203-Return of laptops
16_VOLUMEXVIa_Page_4203
4204-Cover page
16_VOLUMEXVIa_Page_4204
16_VOLUMEXVIa_Page_4205
4206-Notification document
16_VOLUMEXVIa_Page_4206
4207-Vehicle report/search
16_VOLUMEXVIa_Page_4207
4208-Email re CCTV images from GALP Station EN117 2008.03.13
16_VOLUMEXVIa_Page_4208
4209-Sketch of Galp station
16_VOLUMEXVIa_Page_4209
4210-Analysis of CCTV images 2008.04.28
16_VOLUMEXVIa_Page_4210
4211 to 4212-Summary document re: GALP CCTV images-nothing found, 2008.04.28
16_VOLUMEXVIa_Page_4211
16_VOLUMEXVIa_Page_4212
4213-Service information re emails and reconstruction
16_VOLUMEXVIa_Page_4213
4214-Email from Graham Michael (Leicestershire) to Ricardo Paiva 2008.03.19 with questions from the Holiday Group (English)
16_VOLUMEXVIa_Page_4214
4215-Portuguese translation of page 4214
16_VOLUMEXVIa_Page_4215
4216-Letter from the PJ answering questions from Tapas group
16_VOLUMEXVIa_Page_4216
4217-Portuguese translation of page 4216)
16_VOLUMEXVIa_Page_4217
4218 -4219 Email to Paiva indicating Tapas group still undecided about reconstruction 2008.03.28 (English
16_VOLUMEXVIa_Page_4218

16_VOLUMEXVIa_Page_4219

4220 to 4224-Portuguese translation of emails

16_VOLUMEXVIa_Page_4220

16_VOLUMEXVIa_Page_4221

16_VOLUMEXVIa_Page_4222

16_VOLUMEXVIa_Page_4223

4224 to 4226-Email from R. Oldfield asking more questions re reconstruction (English) 2008.04.23

16_VOLUME_XVIa_Page_4224

16_VOLUME_XVIa_Page_4225

16_VOLUME_XVIa_Page_4226

4227 to 4228-Translation of pages 4224 to 4226
16_VOLUME_XVIa_Page_4227
16_VOLUME_XVIa_Page_4228
4229 to 4230- Email re: Jes Wilkin's reply to reconstruction 2008.04.28 9 English)
16_VOLUME_XVIa_Page_4229
16_VOLUME_XVIa_Page_4230
4231 to 4233- Email from Fiona Webster (Payne) 2008.04.28  (English)
16_VOLUME_XVIa_Page_4231
16_VOLUME_XVIa_Page_4232
16_VOLUME_XVIa_Page_4233
4234-Translation of pages 4231 to 4233
16_VOLUME_XVIa_Page_4234
4235 to 4236- Email from Stuart Prior to Ricardo Paiva 2008.04.28 (English)
16_VOLUME_XVIa_Page_4235
16_VOLUME_XVIa_Page_4236
4237- Letter from O'Brien and Tanner re.reconstruction 2008.04.23 (English)
16_VOLUME_XVIa_Page_4237
4238 to 4240-Portuguese translation of pages 4235 to 4237
16_VOLUME_XVIa_Page_4238
16_VOLUME_XVIa_Page_4239
16_VOLUME_XVIa_Page_4240
4241-Email from Rebelo to Stuart Prior re details of reconstruction 2008.04.29 (English)
16_VOLUME_XVIa_Page_4241
4242-Portuguese translation of page 4241
16_VOLUME_XVIa_Page_4242
4243-Email from Stuart Prior re: Tanner and O'Brien response 2008.04.30
16_VOLUME_XVIa_Page_4243
4244-Translation of page 4243
16_VOLUME_XVIa_Page_4244
4245 to 4246-Email from Rachel and Matthew Oldfield 2008.04.30
16_VOLUME_XVIa_Page_4245
16_VOLUME_XVIa_Page_4246
4247-Portuguese translation of pages 4245 to 4246
16_VOLUME_XVIa_Page_4247
4248 to 4250-Email from Fiona and David Payne re reconstruction 2008.04.30
16_VOLUME_XVIa_Page_4248
16_VOLUME_XVIa_Page_4249
16_VOLUME_XVIa_Page_4250
4251-Portuguese translation of pages 4248 to 4250
16_VOLUME_XVIa_Page_4251
4252 to 4254-Email from Jes Wilkins re reconstruction 2008.04.30
16_VOLUME_XVIa_Page_4252
16_VOLUME_XVIa_Page_4253
16_VOLUME_XVIa_Page_4254
4255-Portuguese translation of pages 4252 to 4254
16_VOLUME_XVIa_Page_4255
4256 to 4260-Letter re: Tapas response to reconstruction
16_VOLUME_XVIa_Page_4256
16_VOLUME_XVIa_Page_4257
16_VOLUME_XVIa_Page_4258
16_VOLUME_XVIa_Page_4259
16_VOLUME_XVIa_Page_4260
4261 to 4265-Further information re: reconstruction details and operation
16_VOLUME_XVIa_Page_4261
16_VOLUME_XVIa_Page_4262
16_VOLUME_XVIa_Page_4263
16_VOLUME_XVIa_Page_4264
16_VOLUME_XVIa_Page_4265
4266-Letter from Francisco Pagarete re Robert Murat
16_VOLUME_XVIa_Page_4266
4267 to 4279-Cover letter re: witness rights to Tapas 7 and Wilkins
16_VOLUME_XVIa_Page_4267
16_VOLUME_XVIa_Page_4268
16_VOLUME_XVIa_Page_4269
16_VOLUME_XVIa_Page_4270
16_VOLUME_XVIa_Page_4271
16_VOLUME_XVIa_Page_4272
16_VOLUME_XVIa_Page_4273
16_VOLUME_XVIa_Page_4274
16_VOLUME_XVIa_Page_4275
16_VOLUME_XVIa_Page_4276
16_VOLUME_XVIa_Page_4277
16_VOLUME_XVIa_Page_4278
16_VOLUME_XVIa_Page_4279
4280-Letter re: Gerald McCann procedural rights
16_VOLUME_XVIa_Page_4280
4281-Letter re G. McCann and reconstruction
16_VOLUME_XVIa_Page_4281
4282-Letter to Carlos Pinto de Abreu
16_VOLUME_XVIa_Page_4282
4283-Confirmation above letter sent
16_VOLUME_XVIa_Page_4283
4284-Request for Correio Da Manha journalist re access to files
16_VOLUME_XVIa_Page_4284
4285-Letter from Abreu re: G. McCann
16_VOLUME_XVIa_Page_4285
4286-Letter re: Steve Bruce Kingston
16_VOLUME_XVIa_Page_4286
4287-Missing page? ?
16_VOLUME_XVIa_Page_4287
MISSING PAGE
4288-Letter indicating rogatory requests sent
16_VOLUME_XVIa_Page_4288
4289 to 4293-Home office letter re: legal request 2008.05.08 with supporting documents (English)
16_VOLUME_XVIa_Page_4289
16_VOLUME_XVIa_Page_4290
16_VOLUME_XVIa_Page_4291
16_VOLUME_XVIa_Page_4292
16_VOLUME_XVIa_Page_4293
4294-Documentation
16_VOLUME_XVIa_Page_4294
4295-Terms of information
16_VOLUME_XVIa_Page_4295
4296 to 4297-Dispatches
16_VOLUME_XVIa_Page_4296
16_VOLUME_XVIa_Page_4297
4298-Letter re translator
16_VOLUME_XVIa_Page_4298
4299-Documentation
16_VOLUME_XVIa_Page_4299
4300-Term of Delivery
16_VOLUME_XVIa_Page_4300
4301-Letter from Rebelo to Stuart Prior 2006.05.08 (English)
16_VOLUME_XVIa_Page_4301
4302-Portuguese translation of page 4301
16_VOLUME_XVIa_Page_4302
4303 to 4305-Legal details re reconstruction and Portuguese law (English)
16_VOLUME_XVIa_Page_4303
16_VOLUME_XVIa_Page_4304
16_VOLUME_XVIa_Page_4305
4306-Confirmation fax sent
16_VOLUME_XVIa_Page_4306
4307-Letter to Stuart Prior
16_VOLUME_XVIa_Page_4307
4308-Term of delivery
16_VOLUME_XVIa_Page_4308
4309-Service information re reconstruction emails
16_VOLUME_XVIa_Page_4309
4310-Emails to/from Prior and PJ re tapas response (English)
16_VOLUME_XVIa_Page_4310
4311-Portuguese translation of page 4310
16_VOLUME_XVIa_Page_4311
4312-Email from Rachel and Matthew deciding not to take part in re-enactment 2008.05.10 (English
16_VOLUME_XVIa_Page_4312
4313-Portuguese translation of page 4312
16_VOLUME_XVIa_Page_4313
4314 to 4315-Email from Wilkins, Diane, David, Fiona deciding not to take part in re-enactment 2008.05.10 (English)
16_VOLUME_XVIa_Page_4314
16_VOLUME_XVIa_Page_4315
4316 - 4317-Portuguese translation of pages 4314 to 4315
16_VOLUME_XVIa_Page_4316
16_VOLUME_XVIa_Page_4317
4318-Further email from Fiona and David (English)
16_VOLUME_XVIa_Page_4318
4319-Portuguese translation of page 4318
16_VOLUME_XVIa_Page_4319
4320 to 4321-Fax re: hapoltype of Jane Tanner

16_VOLUME_XVIa_Page_4320

16_VOLUME_XVIa_Page_4321
4322 to 4324-Expert Examination Report
16_VOLUME_XVIa_Page_4322
16_VOLUME_XVIa_Page_4323
16_VOLUME_XVIa_Page_4324
4325-Haplotype analysis
16_VOLUME_XVIa_Page_4325
4326 to 4328-Report re profile
16_VOLUME_XVIa_Page_4326
16_VOLUME_XVIa_Page_4327
16_VOLUME_XVIa_Page_4328
4329 to 4337-Service information re reconstruction with emails and translations
16_VOLUME_XVIa_Page_4329
16_VOLUME_XVIa_Page_4330
16_VOLUME_XVIa_Page_4331
16_VOLUME_XVIa_Page_4332
16_VOLUME_XVIa_Page_4333
16_VOLUME_XVIa_Page_4334
16_VOLUME_XVIa_Page_4335
16_VOLUME_XVIa_Page_4336
16_VOLUME_XVIa_Page_4337
4338-Devolution of rogatory letter
16_VOLUME_XVIa_Page_4338
16_VOLUME_XVIa_Page_4339
4339 to 4343-Letter from Home Office re rogatory request with report
16_VOLUME_XVIa_Page_4340
16_VOLUME_XVIa_Page_4341
16_VOLUME_XVIa_Page_4342
16_VOLUME_XVIa_Page_4343
4344-Copy of certified envelope
16_VOLUME_XVIa_Page_4344
4345-Letter from Matthew Oldfield indicating he will not attend 2008.05.23
16_VOLUME_XVIa_Page_4345
4346-Email from Rachel Oldfield 2008.05.23
16_VOLUME_XVIa_Page_4346
4347-Copy of page 4346
16_VOLUME_XVIa_Page_4347
4348-Letter from Rachel Oldfield she will not attend 2008.05.23
16_VOLUME_XVIa_Page_4348
4349-Documentation
16_VOLUME_XVIa_Page_4349
4350 to 4351-Notification of registered document dispatch
16_VOLUME_XVIa_Page_4350
16_VOLUME_XVIa_Page_4351
4352-Documentation
16_VOLUME_XVIa_Page_4352
4353-Portuguese translation of letter from Rebelo to Stuart Prior
16_VOLUME_XVIa_Page_4353
4354-Email from Rebelo to Prior re: Prosecutor Decision
16_VOLUME_XVIa_Page_4354
4355-Documentation re reconstruction
16_VOLUME_XVIa_Page_4355
4356-Portuguese translation of page 4345
16_VOLUME_XVIa_Page_4356
4357-Portuguese translation of page 4356
16_VOLUME_XVIa_Page_4357
4358 to 4361-Information re Haplotype-S with rest results
16_VOLUME_XVIa_Page_4358
16_VOLUME_XVIa_Page_4359
16_VOLUME_XVIa_Page_4360
16_VOLUME_XVIa_Page_4361
4362 to 4363-Service information re: strange individual near 5A
16_VOLUME_XVIa_Page_4362
16_VOLUME_XVIa_Page_4363
4364 to 4372-Delivery Guide of collected vestiges
16_VOLUME_XVIa_Page_4364
16_VOLUME_XVIa_Page_4365
16_VOLUME_XVIa_Page_4366
16_VOLUME_XVIa_Page_4367
16_VOLUME_XVIa_Page_4368
16_VOLUME_XVIa_Page_4369
16_VOLUME_XVIa_Page_4370
16_VOLUME_XVIa_Page_4371
16_VOLUME_XVIa_Page_4372
4373 to 4374-Anonymous phone call received 2008.06.11
16_VOLUME_XVIa_Page_4373
16_VOLUME_XVIa_Page_4374
4375-Service information regarding sighting in Venezuela
16_VOLUME_XVIa_Page_4375
4376 to 4379-Email from Stuart Prior to PJ re: possible sighting in Sussex
16_VOLUME_XVIa_Page_4376
16_VOLUME_XVIa_Page_4377
16_VOLUME_XVIa_Page_4378
16_VOLUME_XVIa_Page_4379
4380 to 4383-Witness statement of Trevor Francis (English)
16_VOLUME_XVIa_Page_4380
16_VOLUME_XVIa_Page_4381
16_VOLUME_XVIa_Page_4382
16_VOLUME_XVIa_Page_4383
4384-Fax re: Venezuela sighting
16_VOLUME_XVIa_Page_4384
4385 to 4386-Confirmation above fax sent
16_VOLUME_XVIa_Page_4385
16_VOLUME_XVIa_Page_4386
4387-Home Office Correspondence re rogatory letter (English)
16_VOLUME_XVIa_Page_4387
4388 to 4390-Confidential document to Fancis Kennah
16_VOLUME_XVIa_Page_4388
16_VOLUME_XVIa_Page_4389
16_VOLUME_XVIa_Page_4390
MISSING PAGE
4391 to 4394-English version of pages 4388 to 4390
16_VOLUME_XVIa_Page_4391
16_VOLUME_XVIa_Page_4392
16_VOLUME_XVIa_Page_4393
16_VOLUME_XVIa_Page_4394
4395 to 4397-Documentation re: 2nd rogatory letter
16_VOLUME_XVIa_Page_4395
16_VOLUME_XVIa_Page_4396
16_VOLUME_XVIa_Page_4397
4398 to 4400-Documentation re: rogatory letters 2008.05.23 (English)
16_VOLUME_XVIa_Page_4398
16_VOLUME_XVIa_Page_4399
16_VOLUME_XVIa_Page_4400
4401 to 4402-Letter regarding translation of documents
16_VOLUME_XVIa_Page_4401
16_VOLUME_XVIa_Page_4402
4403 to 4411-Letter re document translation
16_VOLUME_XVIa_Page_4403
16_VOLUME_XVIa_Page_4404
16_VOLUME_XVIa_Page_4405
16_VOLUME_XVIa_Page_4406
16_VOLUME_XVIa_Page_4407
16_VOLUME_XVIa_Page_4408
16_VOLUME_XVIa_Page_4409
16_VOLUME_XVIa_Page_4410
16_VOLUME_XVIa_Page_4411
4412 to 4413-Interpreter invoice
16_VOLUME_XVIa_Page_4412
16_VOLUME_XVIa_Page_4413
4414-Closing of volume XVI on 2008.06.23
16_VOLUME_XVIa_Page_4414

TO HELP KEEP THIS SITE ON LINE PLEASE CONSIDER

Site Policy HOME PAGE Contact details