OFFICIAL INQUIRY FILES and DOCUMENTS
PROCESSO VOLUME 4A

This information belongs to the Ministério Público in Portimão, Portugal.
It was released to the public on 4 August 2008 in accordance with Portuguese Law

First page-Opening of volume IV

04_VOLUME_IVa_Page_831

04_VOLUME_IVa_Page_832

833 to 834-Diligence carried out on residence of Derek Flack and Barrington Norton 2007.05.09

04_VOLUME_IVa_Page_833

04_VOLUME_IVa_Page_834

835-External diligence carried out in Lagos 2007.05.05

04_VOLUME_IVa_Page_835

836-Preliminary directions for lab analysis 2007.05.09

04_VOLUME_IVa_Page_836

837-Email

04_VOLUME_IVa_Page_837

838 to 844-Translation of Jeremy Wilkins' statement 2007.05.07
04_VOLUME_IVa_Page_838
04_VOLUME_IVa_Page_839
04_VOLUME_IVa_Page_840
04_VOLUME_IVa_Page_841
04_VOLUME_IVa_Page_842
04_VOLUME_IVa_Page_843
04_VOLUME_IVa_Page_844
845-Copy of tennis court bookings
04_VOLUME_IVa_Page_845
846 to 847-Witness statement of Celeste Libania Dos Santos 2007.05.09
04_VOLUME_IVa_Page_846
04_VOLUME_IVa_Page_847
848 to 849-Service information regarding number of people questioned
04_VOLUME_IVa_Page_848
04_VOLUME_IVa_Page_849
850 to 853- List of witness statements taken
04_VOLUME_IVa_Page_850
04_VOLUME_IVa_Page_851
04_VOLUME_IVa_Page_851a
04_VOLUME_IVa_Page_852
04_VOLUME_IVa_Page_853
854 to 855 -External diligence carried out re: Simon Russell with Eureka Services 2007.05.09
04_VOLUME_IVa_Page_854
04_VOLUME_IVa_Page_855
856 to 858-Service information regarding informal conversation with various Ocean club functionaries 2007.05.09
04_VOLUME_IVa_Page_856
04_VOLUME_IVa_Page_857
04_VOLUME_IVa_Page_858
859 to 867-Copies of passports from various Ocean club staff
04_VOLUME_IVa_Page_859
04_VOLUME_IVa_Page_860
04_VOLUME_IVa_Page_861
04_VOLUME_IVa_Page_862
04_VOLUME_IVa_Page_863
04_VOLUME_IVa_Page_864
04_VOLUME_IVa_Page_865
04_VOLUME_IVa_Page_866
04_VOLUME_IVa_Page_867
868 to 869-Diligence carried out on couple in Edificio Pedras Brancas, Luz, Lagos 2007.05.09
04_VOLUME_IVa_Page_868
04_VOLUME_IVa_Page_869
870 to 872-Diligence carried out with Catriona Baker regarding Madeleine's outing to the beach 2007.05.1
04_VOLUME_IVa_Page_870
04_VOLUME_IVa_Page_871
04_VOLUME_IVa_Page_872
873-Weekly recreation activities of the Lobster (Madeleine's group) activities
04_VOLUME_IVa_Page_873
874-Aerial map of Praia da Luz
04_VOLUME_IVa_Page_874
875 to 883-Picture account of Madeleine's outing to the beach with the Kid's Club
04_VOLUME_IVa_Page_875
04_VOLUME_IVa_Page_876
04_VOLUME_IVa_Page_877
04_VOLUME_IVa_Page_878
04_VOLUME_IVa_Page_879
04_VOLUME_IVa_Page_880
04_VOLUME_IVa_Page_881
04_VOLUME_IVa_Page_882
04_VOLUME_IVa_Page_883
884 to 885-Lofoscopic Report/Information regarding fingerprint found in 5A 2007.05.04
04_VOLUME_IVa_Page_844
04_VOLUME_IVa_Page_844a
04_VOLUME_IVa_Page_885

886 to 890-Letter from PJ regarding written TAPAS timeline (English)

04_VOLUME_IVa_Page_886

04_VOLUME_IVa_Page_887

04_VOLUME_IVa_Page_888

MISSING PAGE

04_VOLUME_IVa_Page_889

04_VOLUME_IVa_Page_890

891 to 903-Witness statement of Gerry McCann 2007.05.10
04_VOLUME_IVa_Page_891
04_VOLUME_IVa_Page_892
04_VOLUME_IVa_Page_893
04_VOLUME_IVa_Page_894

04_VOLUME_IVa_Page_895

04_VOLUME_IVa_Page_896

04_VOLUME_IVa_Page_897

04_VOLUME_IVa_Page_898

04_VOLUME_IVa_Page_899

04_VOLUME_IVa_Page_900
04_VOLUME_IVa_Page_901
04_VOLUME_IVa_Page_902
04_VOLUME_IVa_Page_903
904-Gerald McCann consent for mouth swab 2007.05.10
04_VOLUME_IVa_Page_904
905 to 917-Witness statement of Matthew David Oldfield 2007.05.10
04_VOLUME_IVa_Page_905
04_VOLUME_IVa_Page_906
04_VOLUME_IVa_Page_907
04_VOLUME_IVa_Page_908
04_VOLUME_IVa_Page_909
04_VOLUME_IVa_Page_910
04_VOLUME_IVa_Page_911
04_VOLUME_IVa_Page_912
04_VOLUME_IVa_Page_913
04_VOLUME_IVa_Page_914
04_VOLUME_IVa_Page_915
04_VOLUME_IVa_Page_916
04_VOLUME_IVa_Page_917
918-Consent for mouth swab for Matthew David Oldfield
04_VOLUME_IVa_Page_918
919 to 931-Witness statement of Jane M. Tanner 2007.05.10

04_VOLUME_IVa_Page_919

04_VOLUME_IVa_Page_920
04_VOLUME_IVa_Page_921
04_VOLUME_IVa_Page_922
04_VOLUME_IVa_Page_923
04_VOLUME_IVa_Page_924
04_VOLUME_IVa_Page_925
04_VOLUME_IVa_Page_926
04_VOLUME_IVa_Page_927
04_VOLUME_IVa_Page_928
04_VOLUME_IVa_Page_929
04_VOLUME_IVa_Page_930
04_VOLUME_IVa_Page_931
932-Consent for mouth swab for Jane M. Tanner 2007.05.10
04_VOLUME_IVa_Page_932
933-External diligence carried out on blocks 4 & 5 of the OC 2005.05.10
04_VOLUME_IVa_Page_933
934 to 941-Witness statement of Russell J. O'Brien 2007.05.11
04_VOLUME_IVa_Page_934
04_VOLUME_IVa_Page_935
04_VOLUME_IVa_Page_936
04_VOLUME_IVa_Page_937
04_VOLUME_IVa_Page_938
04_VOLUME_IVa_Page_939
04_VOLUME_IVa_Page_940
04_VOLUME_IVa_Page_941
942-Consent for mouth swab of Russell J. O'Brien 2007.05.11
04_VOLUME_IVa_Page_942
943 to 947-Witness statement of Rachel M. J. Oldfield 2007.05.11
04_VOLUME_IVa_Page_943
04_VOLUME_IVa_Page_944
04_VOLUME_IVa_Page_945
04_VOLUME_IVa_Page_946
04_VOLUME_IVa_Page_947
948-Consent for mouth swab of Rachel M. J. Oldfield 2007.05.11
04_VOLUME_IVa_Page_948
949 to 954-Witness statement of Dianne Webster 2007.05.11
04_VOLUME_IVa_Page_949
04_VOLUME_IVa_Page_950
04_VOLUME_IVa_Page_951
04_VOLUME_IVa_Page_952
04_VOLUME_IVa_Page_953
04_VOLUME_IVa_Page_954
955-Consent for moth swab of Dianne Webster 2007.05.11
04_VOLUME_IVa_Page_955
04_VOLUME_IVa_Page_956
957 to 959-External diligence carried out in the OC 2007.05.11
04_VOLUME_IVa_Page_957
04_VOLUME_IVa_Page_958
04_VOLUME_IVa_Page_959
960 to 961-Results of informal conversation with Robert Murat 2007.05.11
04_VOLUME_IVa_Page_960
04_VOLUME_IVa_Page_961
962-Email regarding results of vestiges collected 2007.05.11
04_VOLUME_IVa_Page_962
963 to 964-Letter from PJ regarding fingerprints 2007.05.22
04_VOLUME_IVa_Page_963
04_VOLUME_IVa_Page_964
965-Information regarding interpreter
04_VOLUME_IVa_Page_965
966-Request for payment of interpreter
04_VOLUME_IVa_Page_966

967 to 972-Results of lofoscopic inspection 2007.05.04

04_VOLUME_IVa_Page_967
04_VOLUME_IVa_Page_968
04_VOLUME_IVa_Page_969
04_VOLUME_IVa_Page_970
04_VOLUME_IVa_Page_971
04_VOLUME_IVa_Page_972
973 to 977-Witness testimony of George Williams James (OC gardener) 2007.05.11
04_VOLUME_IVa_Page_973
04_VOLUME_IVa_Page_974
04_VOLUME_IVa_Page_975
04_VOLUME_IVa_Page_976
04_VOLUME_IVa_Page_977
978-Consent for mouth swab of George Williams James
04_VOLUME_IVa_Page_978
979 to 981-Search warrant for George Williams James' automobile
04_VOLUME_IVa_Page_979
04_VOLUME_IVa_Page_980
04_VOLUME_IVa_Page_981
04_VOLUME_IVa_Page_981a
982-Fax to Strong re: CCTV images 2007.05.13
04_VOLUME_IVa_Page_982
983 to 984-External diligence in Lagos 2007.05.12
04_VOLUME_IVa_Page_983
04_VOLUME_IVa_Page_984
985-Further background information on Robert Murat
04_VOLUME_IVa_Page_985
986 to 992-External diligence in Lagos regarding Robert Murat 2007.05.12
04_VOLUME_IVa_Page_986
04_VOLUME_IVa_Page_987
04_VOLUME_IVa_Page_988
04_VOLUME_IVa_Page_989
04_VOLUME_IVa_Page_990
04_VOLUME_IVa_Page_991
04_VOLUME_IVa_Page_992
993 to 994-External diligence re: Robert Murat rental vehicle 2007.05.13
04_VOLUME_IVa_Page_993
04_VOLUME_IVa_Page_994
995 to 1002-Further information on Robert Murat
04_VOLUME_IVa_Page_995
04_VOLUME_IVa_Page_996
04_VOLUME_IVa_Page_997
04_VOLUME_IVa_Page_998
04_VOLUME_IVa_Page_999
04_VOLUME_IVa_Page_1000
04_VOLUME_IVa_Page_1001
04_VOLUME_IVa_Page_1001a
04_VOLUME_IVa_Page_1002
103 - 105
04_VOLUME_IVa_Page_1003
04_VOLUME_IVa_Page_1004
04_VOLUME_IVa_Page_1005
1006 to 1008-Letter to judicial tribunal regarding Murat's possible involvement in the crime 2007.05.13
04_VOLUME_IVa_Page_1006
04_VOLUME_IVa_Page_1007
04_VOLUME_IVa_Page_1008
04_VOLUME_IVa_Page_1008a
1009 to 1014-Request for trace-back information and IMEIS interception on Murat's phones
04_VOLUME_IVa_Page_1009
04_VOLUME_IVa_Page_1010
04_VOLUME_IVa_Page_1011
04_VOLUME_IVa_Page_1012
04_VOLUME_IVa_Page_1013
04_VOLUME_IVa_Page_1013a
04_VOLUME_IVa_Page_1014
1015 to 1019-Judicial requests for interception and recording of various phone numbers
04_VOLUME_IVa_Page_1015
04_VOLUME_IVa_Page_1016
04_VOLUME_IVa_Page_1017
04_VOLUME_IVa_Page_1018
04_VOLUME_IVa_Page_1019
1020 to 1021-Telephone interception information re:
R. Murat
04_VOLUME_IVa_Page_1020
04_VOLUME_IVa_Page_1021
1022 to 1043-Further request for interception and recording on phone numbers
04_VOLUME_IVa_Page_1022
04_VOLUME_IVa_Page_1023
04_VOLUME_IVa_Page_1024
04_VOLUME_IVa_Page_1025
04_VOLUME_IVa_Page_1026
04_VOLUME_IVa_Page_1027
04_VOLUME_IVa_Page_1028
04_VOLUME_IVa_Page_1029
04_VOLUME_IVa_Page_1030
04_VOLUME_IVa_Page_1031
04_VOLUME_IVa_Page_1032
04_VOLUME_IVa_Page_1033
04_VOLUME_IVa_Page_1034
04_VOLUME_IVa_Page_1035
04_VOLUME_IVa_Page_1036
04_VOLUME_IVa_Page_1037
04_VOLUME_IVa_Page_1038
04_VOLUME_IVa_Page_1039
04_VOLUME_IVa_Page_1040
04_VOLUME_IVa_Page_1041
04_VOLUME_IVa_Page_1042
04_VOLUME_IVa_Page_1043
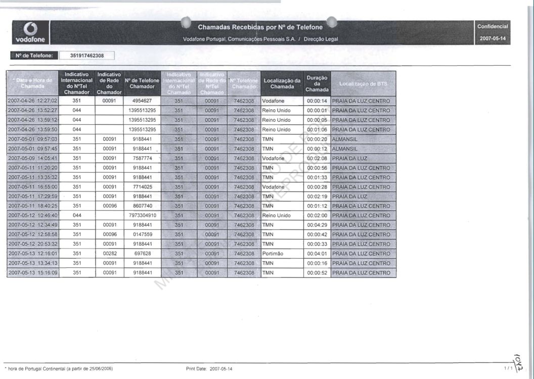
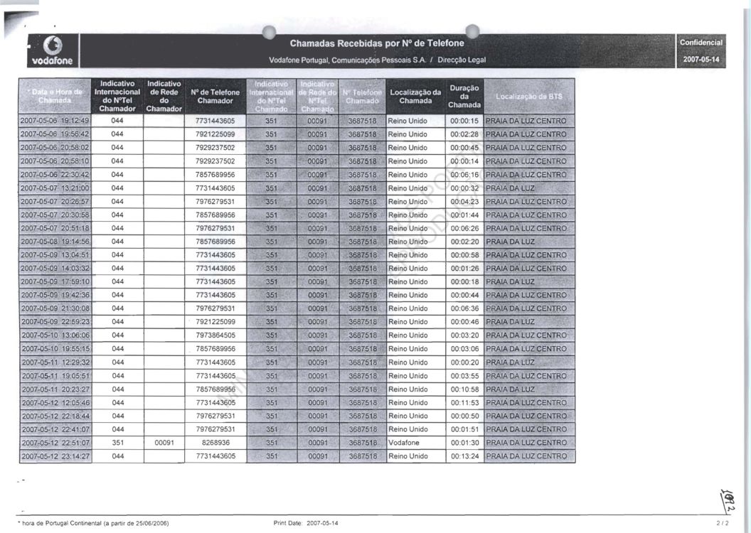
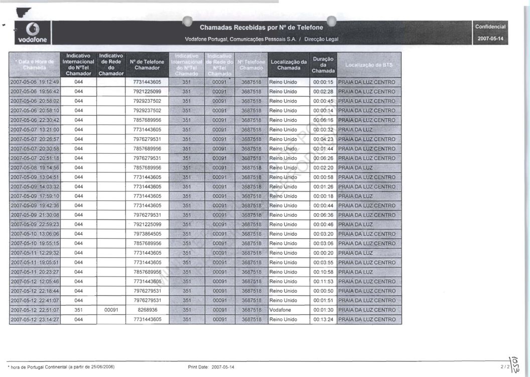
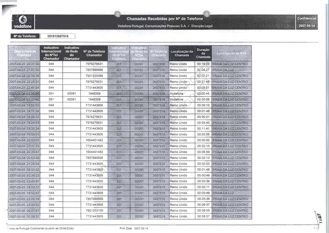
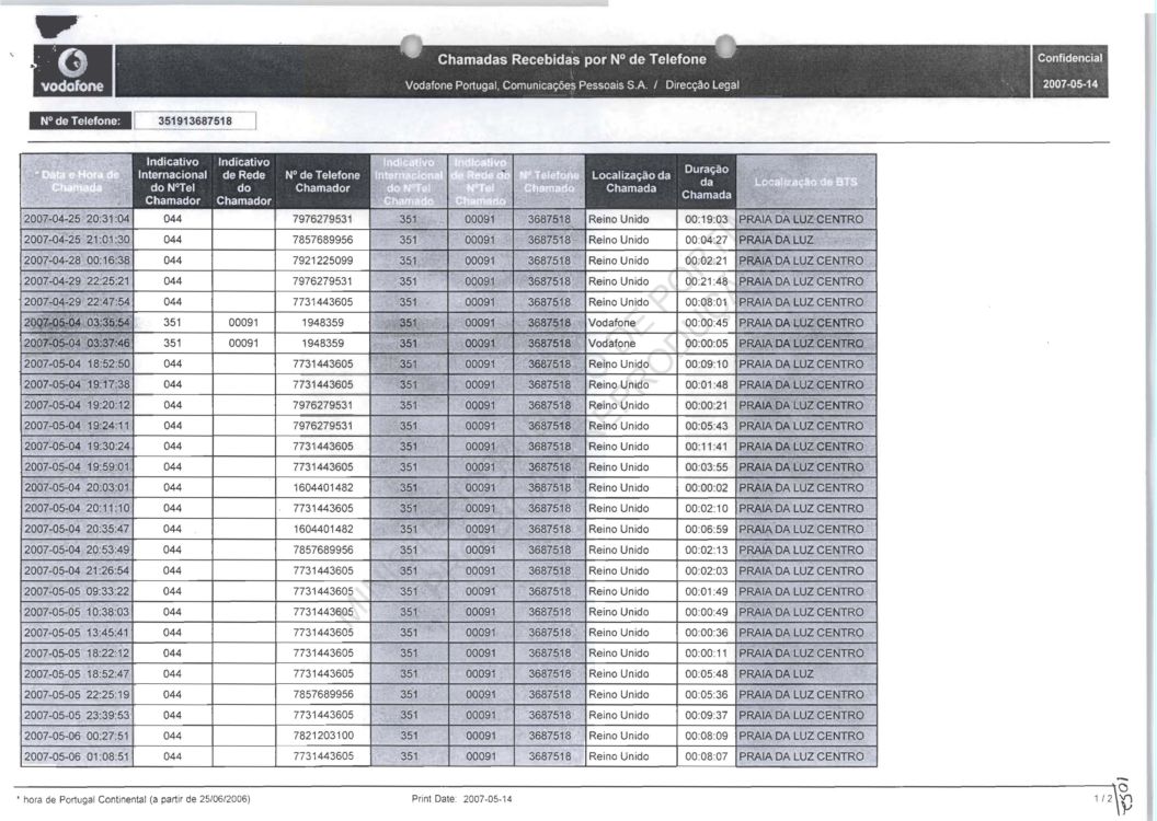
1044 to 1062-Letter from Vodafone re: calls received/made on lines owned by Robert Murat and Jennifer Murat
04_VOLUME_IVa_Page_1044
04_VOLUME_IVa_Page_1045
04_VOLUME_IVa_Page_1046
04_VOLUME_IVa_Page_1047
04_VOLUME_IVa_Page_1048
04_VOLUME_IVa_Page_1049
04_VOLUME_IVa_Page_1050
04_VOLUME_IVa_Page_1051
04_VOLUME_IVa_Page_1052
04_VOLUME_IVa_Page_1053
04_VOLUME_IVa_Page_1054
04_VOLUME_IVa_Page_1055
04_VOLUME_IVa_Page_1056
04_VOLUME_IVa_Page_1057
04_VOLUME_IVa_Page_1058
04_VOLUME_IVa_Page_1059
04_VOLUME_IVa_Page_1060
04_VOLUME_IVa_Page_1061
04_VOLUME_IVa_Page_1062
1063 to 1069-Letter from TMN regarding call traffic for mobile phone
04_VOLUME_IVa_Page_1063
04_VOLUME_IVa_Page_1064
04_VOLUME_IVa_Page_1065
04_VOLUME_IVa_Page_1066
04_VOLUME_IVa_Page_1067
04_VOLUME_IVa_Page_1068
04_VOLUME_IVa_Page_1069
1070 to 1100-Internal correspondence re: telephone traces
04_VOLUME_IVa_Page_1070
04_VOLUME_IVa_Page_1071
04_VOLUME_IVa_Page_1072
04_VOLUME_IVa_Page_1073
04_VOLUME_IVa_Page_1074
04_VOLUME_IVa_Page_1075
04_VOLUME_IVa_Page_1076
04_VOLUME_IVa_Page_1077
04_VOLUME_IVa_Page_1078
04_VOLUME_IVa_Page_1079
04_VOLUME_IVa_Page_1080
04_VOLUME_IVa_Page_1081
04_VOLUME_IVa_Page_1082
04_VOLUME_IVa_Page_1083
04_VOLUME_IVa_Page_1084
04_VOLUME_IVa_Page_1085
04_VOLUME_IVa_Page_1086
04_VOLUME_IVa_Page_1087
04_VOLUME_IVa_Page_1088
04_VOLUME_IVa_Page_1089
04_VOLUME_IVa_Page_1090
04_VOLUME_IVa_Page_1091
04_VOLUME_IVa_Page_1092
04_VOLUME_IVa_Page_1093
04_VOLUME_IVa_Page_1094
04_VOLUME_IVa_Page_1095
04_VOLUME_IVa_Page_1096
04_VOLUME_IVa_Page_1097
04_VOLUME_IVa_Page_1098
04_VOLUME_IVa_Page_1099
04_VOLUME_IVa_Page_1100
1101-Letter from the internal ministry 2007.05.13
04_VOLUME_IVa_Page_1101
1102 to 1104-Information about possible Madeleine near Cap Falcone 2007.05.13
04_VOLUME_IVa_Page_1102
04_VOLUME_IVa_Page_1103
04_VOLUME_IVa_Page_1104
1105-English translation of above documents regarding possible sighting
04_VOLUME_IVa_Page_1105
1106-Letter indicating cap Falcone sighting false
04_VOLUME_IVa_Page_1106
1107-Copy of pages 1102 to 1104 with fax confirmation stamp
04_VOLUME_IVa_Page_1107
1108 to 1110-Message received from IP Madrid regarding possible sighting in Trujillo 2007.05.11
04_VOLUME_IVa_Page_1108
04_VOLUME_IVa_Page_1109
04_VOLUME_IVa_Page_1110
1111 to 1112-Letter from IP Wellington, France and Dublin regarding finger prints found 2007.05.11
04_VOLUME_IVa_Page_1111
04_VOLUME_IVa_Page_1112
1113-Information regarding Irish citizen who noticed stranger in PdL around the time of disappearance
04_VOLUME_IVa_Page_1113
1114-Reported sighting of Madeleine in Eden Quay, Dublin 2007.05.07
04_VOLUME_IVa_Page_1114
1115 to 1116-Information from Rotterdam citizen who noticed stranger in PdL around the time of disappearance 2007.05.05
04_VOLUME_IVa_Page_1115
04_VOLUME_IVa_Page_1116
1117-Letter from Weisbaden and Lyon IP indicating fingerprint not found in their database
04_VOLUME_IVa_Page_1117
1118-Closing of volume IV on 2007.05.14
04_VOLUME_IVa_Page_1188

TO HELP KEEP THIS SITE ON LINE PLEASE CONSIDER

Site Policy HOME PAGE Contact details