2679 to 2682 MoPo assessment re: computers, reconstruction, and
phone traffic
Correspondence -
Additional Restraining Orders for Arguidos |
|
TRANSLATION BY ALBYM /INES |
|
10-Processo 10-
Pages 2679 to 2682 |
|
10VOLUME_Xa_Page_2679 |
 |
|
10VOLUME_Xa_Page_2680 |
 |
|
10VOLUME_Xa_Page_2681 |
 |
|
10VOLUME_Xa_Page_2682 |
 |
Processes Vol X
Pages 2679 - 2682
Portimao Public Services Ministry
201/07 GALGS
CONCLUSION - 19-09-2007
As a result of the interrogations contained on pages 2557/2560
and 2569/2576, the arguidos Kate and Gerald McCann were heard,
whilst the former, in the exercise of one of her rights, opted
not to make statements, her husband opted to speak.
Therefore, as regards to the arguido Kate, an eventual new
interrogation would not be any advance given that her option was
not to make statements, whilst in the case of the arguido Gerry
a new interrogation would not be justified, at least not at the
moment, taking into account that there are no new facts with
which to confront him (same situation for Kate) therefore
meaning that a new interrogation would not have any sense.
On the other hand, a change in the restraining orders applied to
the arguidos (TIR) would suppose that the arguidos had abused
the obligations imposed and other restraining orders foreseen in
the CPP and admissible in the case (article 203 no. 1) together
with the former article 204, could only be imposed by means of
legal despatch if the following were verified: a) Fleeing or
risk of fleeing, b) Risk of obstructing the course of the
investigation or process instruction and namely the risk to
acquiring, conserving or the veracity of evidence, or c) the
risk given the nature of the circumstances of the crime or the
arguidos personality, that the latter would continue criminal
activity or seriously endanger public order and tranquillity.
From the elements brought to the process it can be stated
unequivocally that the arguidos did not violate any of the
obligations imposed upon them by the restraining orders that
were applied, according to article 196 of the CPP and on the
other hand, no grounds are found to apply any other restraining
order: the arguidos live in the UK at the address they
indicated, as they are currently in the UK no possibility of
their interference with the production of evidence, or its
acquisition, conservation or veracity can be seen and finally,
taking into account their current place of residence, there is
no risk for the disturbance of public order and tranquillity.
There are therefore, no reasons to alter their restraining
orders.
Pages 2636/2639: it is the consideration of the Policia
Judiciaria, namely taking into account our communication on page
1808, indicating that the computers that were apprehended from
them, should be returned at the moment when they are no longer
of interest to the investigation and as means of evidence.
Pages 2661, 2667/2668 and 2678 deny the requests for
consultation of the process files due to judicial secrecy
(article 86 no. 3 of the CPP).
In the development of the continuing investigation into the
disappearance of Madeleine McCann, the investigation being open,
whether to confirm or deny its occurrence in relation to the
crimes of abduction, homicide, exposure to abandonment and
hiding of the body and according to defined plan, it is
necessary to document the real time of the disappearance in
question, establish the location of each of the intervening
parties - from the McCann couple to the group of friends who
were on holiday with them in the Ocean Club tourist apartments
in Praia da Luz : Jane Michelle Tanner, Russel James O'Brien,
Matthew David Oldfield, Rachael Mampilly, David Anthony Payne,
Fiona Elaine Payne and Diane Webster - the date of the facts and
posterior moments, as well as to determine the movements of the
arguidos Gerald McCann and Kate Healy during the period that
they were staying in Portugal, whilst also establishing the
connections between all of the group members and third parties.
In this sense and because the following diligences are essential
in order to discover the truth, namely the analysis of telephone
traffic of the McCann couple and their friends as well as other
telephone numbers that were found to be related to the facts
that occurred on the night of 3rd May 2007, the files are
forwarded to Mmo JIC.
Given the fact that there are suspicions of the crimes of
abduction, homicide, exposure or abandonment, hiding of the
body, I propose, according to the terms laid down in articles 15
no. 2 of Law 88/89 of 11 September, 187 no.1, line a and 4 and 252
A and 269 no.1 of the CPP:
1. It is requested that the three national mobile operators (TMN,
Vodaphone and Optimus) should send a DVD or CD with the complete
listings of telephone traffic referring to the calls received
and made during the period of time between 28th April 2007 to
the 9th September 2007, including cellular location and trace
back as well as roaming SMS and MMS and their respective
content, of the following telephone numbers:
00447786986188 - Gerald McCann
00447903108397 - Kate Healy
00447748844837 - David Payne
00447796272586 - Fiona Payne
00447790327853 - Diane Webster
00447713258795 - Russel O'Brien
00447808534191 - Jane Tanner
000447771591456 - Matthew Oldfield
00447771591461 - Rachel Mampilly
00447818520047 - unidentified telephone number which on the
night of 2nd May 2007 sent 14 written SMS messages to Gerald
McCann and another 4 messages on the day following the
disappearance of Madeleine McCann.
2. 2. It is requested that the mobile operator TMN send a CD or
DVD with the complete listings of telephone traffic referring to
the calls received and made during the period of time between
20.00 on 3rd May 2007 and 12.00 on 4th May 2007,including
cellular location and trace back as well as roaming SMS and MMS
and their respective content, of the following telephone
numbers:
969787045 - belonging to the Ocean Club reception in Praia da
Luz
964098114 - belonging to the Ocean Club manager, Silvia Batista.
962093051 - belonging to the Lagos GNR post.
3. It is requested that the operator Portugal Telecom should
send a DVD or CD with the complete listings of telephone traffic
referring to the calls made and received during the period of
time between 20.00 on 3rd May 2007 and 12.00 on 4th May 2007 for
the following fixed lines:
282771000 - belonging to the Ocean Club reception.
282762809 - belonging to the Lagos GNR post.
In the meantime the existence of a laptop computer rented by
Gerald McCann after the disappearance of Madeleine on 3rd May
came to our knowledge, which was rented to him by Nuno Ferreira
who voluntarily delivered the computer to us so that the
appropriate examinations could be carried out.
I propose, according to the terms of article 189 of the CPP that
the analysis of the hard disk of the laptop computer Sony, VAIO
with series number 282479595001799 should be authorised.
The Public Prosecutor
Signed
Jose Magalhaes e Menezes |
|
4185
- Documentation
CONCLUSION on 1-4-2008 |
|
WITH THANKS TO INES |
|
16 Processos Vol XVI Page 4185 |
|
16_VOLUME_XVIa_Page_4185 |
 |
CONCLUSION on 1-4-2008
In the letter of request sent to the United Kingdom relating to
the disappearance of Madeleine McCann it was requested that the
witnesses who were on holiday with Madeleine's parents would
inform us about their availability to come to Portugal to do a
reconstruction, the dates proposed being 28/29 April or 15/16
May (in order not to coincide with the date of the
disappearance, nor with Madeleine's birthday), the appearance of
the witnesses and the carrying out of the reconstruction also
being dependent upon the arrival in Portugal of the arguidos,
without whom there would be no sense in a reconstruction.
Therefore, notify the arguidos Gerald McCann and Kate Healy, by
means of their lawyer Dr Rogerio Alves, to inform of their
availability to come to Portugal on one of the dates mentioned
above, with the aim of participating in the reconstruction,
requesting a rapid response, bearing in mind that the
questioning of the witnesses will begin on the 7th April and in
order to be able to communicate this availability to the
witnesses, as well as resolving all the questions, namely as
regards logistics that would be necessary.
As required on page 3944, it was indicated to the PJ that the
apprehended belongings be returned, unless they are of interest
to the investigation or for matters of evidence.
As it has not been revealed to be of interest to the
investigation, the computer made available by Nuno Ferreira
(page 2670) should be returned.
Page 3946 . seen. |
|
4186
- Letter re information from Stuart Prior re: reconstruction |
|
16 Processos Vol XVI Page 4186 |
|
16_VOLUME_XVIa_Page_4186 |
 |
INFORMATION
During a recent trip to the UK made by the undersigned,
accompanied by Inspectors Joao Carlos and Ricardo Paiva, to
accompany the anticipated compliance with the letter of Request
sent to the UK Justice authorities, Detective Superintendent
Stuart Prior from the Leicestershire Constabulary told us the
following:
- following the requests contained in the Letter of Request
referring to establishing the availability of various witnesses
to come to Portugal in order to carry out a reconstruction
exercise of the events, these witnesses expressed some doubts
and questions that they would like to see cleared up.
- these doubts and questions were sent to the Superintendent by
means of electronic mail and phone calls, and he has asked the
undersigned, as far as possible, to remove the difficulties that
the construction might have and proceed to clarify;
Therefore and with the aim of completely clarifying these
subjects, the document that immediately follows this was
produced and sent, by email to Stuart Prior.
Portimao, 15th April 2008
Superior Coordinator
Paulo Rebelo
The following document (in English) (Page 4187)
Paulo Fernando Gaspar Rebelo
From : Paulo Fernando Gaspar Rebelo
Date : 15th April 2008
To : "Prior Stuart"
Subject : Wittnesses' Questions
Dear Stuart,
As previously agreed, here I send the answers to the questions
raised by the holidaying group and Jeremy Wilkins regarding the
re-enactment.
I also inform you, about the matter of Gerald McCann's credit
cards intelligence, that the Prosecutor is not available to make
any more changes to the LOR.
Thank you very much, again, for your fantastic cooperation.
Best regards,
Paulo Rebelo.
CSIC
Pages 4190-4192
Processos Volume XVI, pgs. 4190 to 4192
Letter from PJ (Paulo Rebelo) regarding details of proposed
reconstruction (English)
Dear Stuart,
As agreed during our visit to Leicester last week, and in order
to provide an answer to the questions raised by various
witnesses in the investigation into the disappearance of the
minor Madeleine McCann, regarding the possibility of carrying
out a re-enactment on the site of the events, I shall inform you
of the following:
1 - Regarding the arguido or formal suspect status of Gerald
McCann and Kate McCann, it is not the PJ's competence to take
the decision on the respective clearance. Thus, it is not
possible to ensure the arguido status will be changed;
2 - There is no need for the witnesses to be accompanied by
their children. For efficiency and celerity purposes, we indeed
request that the children don't accompany their parents;
3 - The re-enactment, within the LOR, shall take place probably
on May 15, 2008, between 5.30 p.m. and 11 p.m., thus covering
the time period before dinner, dinner time and about an hour
after having checked that the child had gone missing;
4 - A postponing of the re-enactment will only happen if the
weather conditions are extremely bad, once the sites where most
part of the events took place weren't exposed to such
conditions. We also add the draft agenda to the proceedings,
which we plan to be as follows:
- May 15 - In the morning - Arrival to Portugal of the
participants in the proceedings;
- In the afternoon - The re-enactment
- May 16 - During the day - Preparation, by the PJ, of the
records and documents of the proceedings which will be
displayed, reviewed and signed by the participants;
- May 17 - In the morning or in the afternoon - Departure of the
participants.
5 - The re-enactment will be carried out with the attendance of
the nine holidaying friends, as well as, incidentally, any
figurant considered to be necessary for a visualization of the
events, i.e. a man carrying a child;
6 - The re-enactment site will be isolated, as much as possible,
in order to preserve the security and the integrity of the
proceedings. However, we can neither assure the evacuation of
the population, nor guarantee the press won't interfere out of
the security perimeter which will be established. Thus, we will
do our best efforts to try and avoid picture taking by the
press. However, we can not completely ensure that won't happen;
7 - The re-enactment will only turn out to be efficient if
performed by the participants in the events, once the
information provided by the same participants needs to be tested
and efficiently compared on-site, and that can only be achieved
by means of their own performances. Thus, the possibility of
using actors has to be put aside;
8 - The request for the presence of witnesses was submitted
through the LOR; the notification for the attendance of the
arguidos falls under the competence of the Public Prosecutor's
Office;
9 - If it is their wish, the witnesses can be assisted by the
Foreign Office and, in the proceedings, also by a legal
representative, subject to the consent of the Public
Prosecutor's Office. Within the scope of the cooperation that
has been taking place, the Leicestershire Police has already
been invited to be present in the proceedings;
10 - If the conditions to make the re-enactments are achieved,
the payments of participants' airfares and the stay costs will
be subject of later evaluation;
11 - The PJ will be responsible for ensuring personal security
for all the participants in the proceedings and will facilitate
transfers from and to the airport, and from and to the
proceedings. The PJ does not foresee any hostile environment or
the occurrence of events able to put the participants' physical
and psychological integrity at risk;
12 - The witnesses will be invited to participate in the
re-enactment, but there are no suspicions over them regarding
the commission of any criminal acts;
13 - The translation services of these inquiry proceedings will
be provided by private officers of the PJ;
14 - The PJ considers this re-enactment to be highly important,
and hopes the witnesses show their total cooperation, as they
have been doing so far, towards finding out the truth.
We hope we have provided the answers to all the questions raised
by the participants and, for logistics and case preparation
purposes, we kindly request to be informed about the
participants' respective answers until April 25, 2008.
Best regards,
Paulo Rebelo
CSIC |
|
4187 Email to Stuart
Prior re reconstruction questions from Tapas 6(English) |
|
THANKS TO KIZZY |
|
16 Processo Vol
16..Page 4187 |
|
16_VOLUMEXVIa_Page_4187 |
 |
Paulo Fernando Gaspar Rebelo
From : Paulo Fernando Gaspar Rebelo
Date : 15th April 2008
To : "Prior Stuart"
Subject : Witnesses' Questions
Dear Stuart,
As previously agreed, here I send the answers to the questions
raised by the holidaying group and Jeremy Wilkins regarding the
re-inactment.
I also inform you, about the matter of Gerald McCann's credit
cards intelligence, that the Prosecutor is not available to make
any more changes to the LOR.
Thank you very much, again, for your fantastic cooperation.
Best regards,
Paulo Rebelo.
CSIC |
|
4190 to 4192
Letter from PJ (Paulo
Rebelo) regarding details of
proposed reconstruction
(English) |
|
16
Processos Volume XVI, pgs. 4190 to 4192 |
|
16_VOLUMEXVIa_Page_4190 |
 |
|
16_VOLUMEXVIa_Page_4191 |
 |
|
16_VOLUMEXVIa_Page_4192 |
 |
Letter from PJ (Paulo Rebelo)
regarding details of proposed
reconstruction (English)
Dear Stuart,
As agreed during our visit to
Leicester last week, and in order to
provide an answer to the questions
raised by various witnesses in the
investigation into the disappearance
of the minor Madeleine McCann,
regarding the possibility of
carrying out a re-enactment on the
site of the events, I shall inform
you of the following:
1 - Regarding the arguido or
formal suspect status of Gerald
McCann and Kate McCann, it is not
the PJ's competence to take the
decision on the respective
clearance. Thus, it is not possible
to ensure the arguido status will be
changed;
2 - There is no need for the
witnesses to be accompanied by their
children. For efficiency and
celerity purposes, we indeed request
that the children don't accompany
their parents;
3 - The re-enactment, within the
LOR, shall take place probably on
May 15, 2008, between 5.30 p.m. and
11 p.m., thus covering the time
period before dinner, dinner time
and about an hour after having
checked that the child had gone
missing;
4 - A postponing of the
re-enactment will only happen if the
weather conditions are extremely
bad, once the sites where most part
of the events took place weren't
exposed to such conditions. We also
add the draft agenda to the
proceedings, which we plan to be as
follows:
- May 15 - In the morning -
Arrival to Portugal of the
participants in the proceedings;
- In the afternoon - The
re-enactment
- May 16 - During the day -
Preparation, by the PJ, of the
records and documents of the
proceedings which will be displayed,
reviewed and signed by the
participants;
- May 17 - In the morning or in
the afternoon - Departure of the
participants.
5 - The re-enactment will be
carried out with the attendance of
the nine holidaying friends, as well
as, incidentally, any figurant
considered to be necessary for a
visualization of the events, i.e. a
man carrying a child;
6 - The re-enactment site will
be isolated, as much as possible, in
order to preserve the security and
the integrity of the proceedings.
However, we can neither assure the
evacuation of the population, nor
guarantee the press won't interfere
out of the security perimeter which
will be established. Thus, we will
do our best efforts to try and avoid
picture taking by the press.
However, we can not completely
ensure that won't happen;
7 - The re-enactment will only
turn out to be efficient if
performed by the participants in the
events, once the information
provided by the same participants
needs to be tested and efficiently
compared on-site, and that can only
be achieved by means of their own
performances. Thus, the possibility
of using actors has to be put aside;
8 - The request for the presence
of witnesses was submitted through
the LOR; the notification for the
attendance of the arguidos falls
under the competence of the Public
Prosecutor's Office;
9 - If it is their wish, the
witnesses can be assisted by the
Foreign Office and, in the
proceedings, also by a legal
representative, subject to the
consent of the Public Prosecutor's
Office. Within the scope of the
cooperation that has been taking
place, the Leicestershire Police has
already been invited to be present
in the proceedings;
10 - If the conditions to make
the re-enactments are achieved, the
payments of participants' airfares
and the stay costs will be subject
of later evaluation;
11 - The PJ will be responsible
for ensuring personal security for
all the participants in the
proceedings and will facilitate
transfers from and to the airport,
and from and to the proceedings. The
PJ does not foresee any hostile
environment or the occurrence of
events able to put the participants'
physical and psychological integrity
at risk;
12 - The witnesses will be
invited to participate in the
re-enactment, but there are no
suspicions over them regarding the
commission of any criminal acts;
13 - The translation services of
these inquiry proceedings will be
provided by private officers of the
PJ;
14 - The PJ considers this
re-enactment to be highly important,
and hopes the witnesses show their
total cooperation, as they have been
doing so far, towards finding out
the truth.
We hope we have provided the
answers to all the questions raised
by the participants and, for
logistics and case preparation
purposes, we kindly request to be
informed about the participants'
respective answers until April 25,
2008.
Best regards,
Paulo Rebelo
CSIC |
|
4198 Email from
Stuart Prior( English) |
|
16 Processo Vol
16 Page 4198 |
|
16_VOLUMEXVIa_Page_4198 |
 |
Ricardo
Manuel Goncalves Paiva
From : Prior Stuart (Stuart.Prior@leicestershire.pnn.police.uk
)
Date : 23rd April 2008
To : Ricardo Manuel Goncalves Paiva
Subject : NOT PROTECTIVELY MARKED : -FW : Synopsis Michael
Wright
Annexes : Synopsis Michael Wright.doc
As discussed
Stu. |
|
4199
Synopsis of Michael Terrence
Wright's statement
2008.04.16 (English)
|
|
16 Processo Vol
16 Page 4199 |
|
16_VOLUMEXVIa_Page_4199 |
 |
Table of
Contents : - "Synopsis of Michael Terrence Wright's statement
2008.04.16"
Synopsis re statement of Michael Terre(n)nce WRIGHT 16th April
2008.
Michael's wife (Anne-Marie) is the cousin of Kate MCCANN but has
known her since she was about 8 years old when she used to
holiday on the Isle Of Man where he used to live. He has known
Gerry since 1997 when he started to go out with Kate. They now
generally meet up on key family events.
The families stayed together in each others homes in 2006 and
February 2007 and were planning a family holiday in the UK in
June 2007.
He received a phone call around 11pm on the 3rd May from his
wife's mother informing him that Madeleine had been taken from
her bed. Between 10am and 11am
next(?)
morning..(Note : quoted as 10am and 11am
that morning in text) he
again spoke with Kate who wanted her parents to join them in
Portugal.
Michael went out to Portugal on the 5th May and initially stayed
above Kate and Gerry on the Mark Warner Complex. He returned to
the UK on the 11th May but made 5 further trips to Portugal ;
14th May-18th May
8th June-13th June : with his wife and they looked after the
twins when Kate and Gerry went to Morocco.
12th July-13th July : he returned with Kate and the twins to
attend the Christening of his own children while Gerry was
already in the UK. The MCCANN'S returned to Portugal on the 15th
July.
22nd August- 1st Sept to replace the CAMERON family. Here he
assisted in arranging the return of Gerry and Kate (Note : to
the UK (sic)) by booking a removal firm in Lagos in his name.
7th Sept-9th Sept : He helped clean up the Villa as the MCCANN'S
with the CAMERONS and Eileen McCann returned home on the 9th
September.
In August and September he stayed in Gerry and Kate's rented
Villa.
Michael assisted with the running of the Madeleine Campaign and
describes Gerry and Kate as distraught, and how they crumbled
and sobbed when not out at official meetings or Media
Conferences.
Michael was aware of the hire of the Renault Espace : he was
collected from the airport by Kate on the 12th July in it and
drove the vehicle regularly in August and September. He used the
vehicle for shopping and to the rubbish/recycling area in Praia
for the removal of gardening rubbish. He drove the twins to the
beach and kiddies club and also for airport runs. Other times he
would be a passenger when Gerry or Sandy Cameron would drive.
A number of refuse sites were used. Two areas on the Villa
Estate, at the main entrance and at the top of the hill. A site
on Cemetery Road, a site on a road above the Mark Warner Complex
and a site between the Villa and the Church.
On a number of occasions he noticed an unpleasant smell in the
vehicle that he put down to the twin's used nappies which had
been discarded with the general waste. He was not aware of any
spillages in the vehicle or anyone cleaning it.
Michael further stated that on the 6th May he purchased a large
quantity of Pizza's from the Pizza Shack on the beach at Praia
da Luz. The girl serving him was from Liverpool and after
introductions she said her father "George" had seen a man
carrying a child in the early hours of the 4th May in the
resort. He is unaware if "George" has ever spoken to the
Authorities.
DS 278 ADCOCK |
|
4213
- Service information re emails and reconstruction |
|
16 Processos Vol XVI Page 4213 |
|
16_VOLUME_XVIa_Page_4213 |
 |
Date: 2008-03-31
Service Information
To: The Coordinator of the Criminal Investigation Paulo Rebelo
From: Inspector Ricardo Paiva
Subject: Expedient for annexing to the process files
Following the request made by this police force to the British
authorities of the Leicester police to contact the group of
friends of the McCann couple as well as Jeremy Wilkins, in the
sense of their being questioned about whether, with regard to
the penal processional diligence which consists of the
reconstruction of the events that occurred in Praia da Luz on
the night of 3rd May 2007, they would be available to travel to
Portugal, with the aim of participating in the reconstruction,
several of the witnesses raised some questions about this
subject, which were quickly responded to according to your
indications.
In this context, in the exchange of electronic correspondence
with the Leicester Police, emails were produced which are
attached to this Service Information, duly translated into
Portuguese, to be annexed to the process files.
I bring this to your knowledge.
Signed
Inspector
Ricardo Paiva |
4214 Email from Graham
Michael (Leicestershire) to
Ricardo Paiva 2008.03.19
with questions from the
Holiday Group (English)
4215 Portuguese
translation of page 4214 |
|
16 Processo 16 Pages 4214 4215 |
|
16_VOLUMEXVIa_Page_4214 |
 |
|
16_VOLUMEXVIa_Page_4215 |
 |
Email sent to the PJ from Graham
Michael
19 March 2008 16:39
Dear Ricardo,
I refer to our recent telephone
call conversations and can
confirm that we will starting
the interview process w/c 7th
April 2008. I hope the e-mail
sent on Thursday 13th March
helps with your arrangements for
your accommodation.
I am in receipt of your e-mail
regarding further questions for
John Lowe at the FSS and I will
forward them for him to answer.
As discussed on Friday, we have
made contact with the holiday
group ( Paynes, Webster,
O'Brien, Tanner, Oldfield,
Manpilly ) regarding their
availability for the proposed
dates for a re-enactment in
Portugal. We are still awaiting
response from Jeremy Wilkins.
Before they will fully commit to
attending they have the
following questions that they
request are answered:-
1 - Why do the PJ want them to
take part in the re-enactment'
2 - What is the aim, what are
the PJ trying to achieve with
the re-enactment'
3 - Why so close to the
anniversary'
4 - Why don't the PJ use actors'
5 - Will the footage of the
re-enactment be released to the
press/TV etc'
6 - What protection is there for
the friends in relation to the
media coverage/likely frenzy
Would you please speak with the
Director regarding these
questions and consider how you
would like us to respond. I
would be grateful for a prompt
response as this will hopefully
ensure that the witnesses are
available to attend.
Yours Sincerely
Mick Graham
Detective Inspector
Major Crime Unit
|
|
4216 Letter from the
PJ answering questions
from Tapas group
4217 Portuguese translation
of page 4216 |
|
16 Processo 16 Pages 4216 - 4217 |
|
16_VOLUMEXVIa_Page_4216 |
 |
|
16_VOLUMEXVIa_Page_4217 |
 |
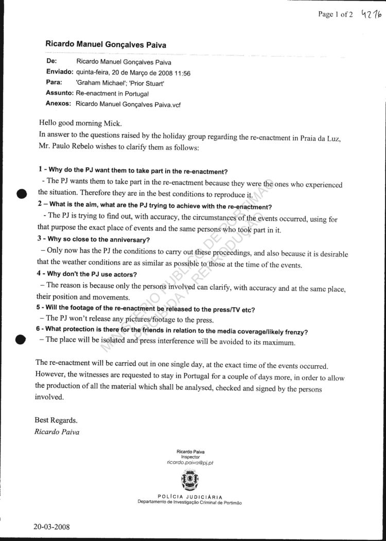
Email sent from the PJ to Graham
Michael / Stuart Prior
20 March 2008 11:56
Hello good morning Mick.
In answer to the questions raised by
the holiday group regarding the
re-enactment in Praia da Luz, Mr
Paulo Rebelo wishes to clarify them
as follows:
1 -
Why do the PJ want them to take part
in the re-enactment'
The PJ wants them to take part in
the re-enactment because they were
the ones who experienced the
situation. Therefore they are in the
best conditions to reproduce it.
2 -
What is the aim, what are the PJ
trying to achieve with the
re-enactment'
The PJ is trying to find out, with
accuracy, the circumstances of the
events occurred, using for that
purpose the exact place of events
and the same persons who took part
in it.
3 -
Why so close to the anniversary'
Only now has the PJ conditions to
carry out these proceedings, and
also because it is desirable that
the weather conditions are as
similar as possible to those at the
time of the events.
4 -
Why don't the PJ use actors'
The reason is because only the
persons involved can clarify, with
accuracy and at the same place,
their position and movements.
5 -
Will the footage of the re-enactment
be released to the press/TV etc'
The PJ won't release any
pictures/footage to the press.
6 -
What protection is there for the
friends in relation to the media
coverage/like frenzy'
The place will be isolated and press
interference will be avoided to its
maximum.
The re-enactment will be carried out
in one single day, at the exact time
the events occurred.
However, the witnesses are requested
to stay in Portugal for a couple of
days more, in order to allow the
production of all the material which
shall be analysed, checked and
signed by the persons involved.
Best regards.
Ricardo Paiva
|
|
|
|
4218 to 4219
Email to Paiva indicating Tapas
group still undecided about
reconstruction 2008.03.28
(English |
|
16 Processo 16 Pages 4218 to 4219 |
|
16_VOLUMEXVIa_Page_4218 |
 |
|
16_VOLUMEXVIa_Page_4219 |
 |
Email sent to PJ to Graham Michael /
Stuart Prior
28 March 2008 16:33
(processo/16 - VOLUME XVIa.pdf P89 )
Dear Ricardo,
An update for you, as discussed this
morning;
We have spoken on a number of
occasions with the holiday group and
they are still undecided whether
they will agree to attend Portugal
to take part in this process.
As a group, they are waiting to see
if Gerry and Kate McCann will be
invited to attend and participate in
the re-enactment. It is my
understanding that if Gerry and Kate
do not participate in this process,
then the decision will be that they
will not attend.
In addition, the group have stated
that they would require written
reassurances about how the process
was going to be conducted before
agreeing to attend.
Therefore, until these issues are
resolved we are unable to get a firm
commitment from the holiday group to
attend on either of the proposed
dates.
Mick.
---------------------------------------
4219
The place will be isolated and Press
interference will be avoided to it's
maximum.
The re-inactment will be carried out
in one single day, at the exact time
of the events occurred.
However, the wittnesses are
requested to stay in Portugal for a
couple of days more, in order to
allow the production of all the
material which shall be analysed,
checked and signed by the persons
involved.
Best Regards,
Ricardo Paiva
|
|
|
4224 to 4226 Email
from R. Oldfield asking more
questions re reconstruction
(English) 2008.04.23 |
|
16-Processo 16 Pages 4224
4226 |
|
16_VOLUME_XVIa_Page_4224 |
 |
|
16_VOLUME_XVIa_Page_4225 |
 |
|
16_VOLUME_XVIa_Page_4226 |
 |
Page 4224 :
From : Stuart Prior (
stuart.prior@leicesrershire.pnn.police.uk
)
Date : 24th April 2008
To : Ricardo Manuel Goncalves
Paiva
Subject : FW : Re-enactment
questions.
Ricardo,
This is the first reply
received from the friends of
the McCann's.
It seems to be the same as
when you were in the UK that
Rachael and Matthew would be
willing to attend if they
are satisfied as to the
purpose of the re-enactment
but clearly do not feel the
previous answers from Paulo
cover their questions.
Could you please discuss the
attached e-mail with Paulo,
see if any further answers
can be clarified and get
back to me.
Thanks,
Stu.
------------Original
Message----------
From : Rachael Oldfield
(<email address quoted>)
To : "Prior Stuart"
Cc : "Matthew Oldfield"
(<email address quoted>)
Sent : Wednesday, April
23rd, 2008.
Subject : Re : Re-enactment
questions
Dear Stuart,
Thank you for your e-mail
and the attached response
from the PJ.
We remain unconvinced that
this reconstruction is
necessary. Our most
significant question hasn't
been answered, ie, how is it
going to help find
Madeleine/materially benefit
the search for her ?
Point 14 of the PJ's
response says that they
consider this re-enactment
"highly important". Why is
that ? What are they really
trying to get out of a
reconstruction ?
Either they believe our
version of the events of May
3rd 2007, or they don't. If
they do, why the need for a
reconstruction ? If they
don't believe us, do they
want a reconstruction so we
can convince them otherwise
?
If the purpose of a
reconstruction is to
convince the Prosecutor to
lift Kate and Gerry's
arguido status then we would
consider taking part in it.
If it is to properly focus
the investigation on the
person seen carrying a child
away from the apartment,
again, we would consider
taking part because that
would help to find
Madeleine.
We just need to be properly
convinced of the reasons for
doing a re-enactment.
We know you are the middle
man in all this but we are
sorry for more questions !
Please give either of us a
call if you would like to
talk through the above. Also
if you feel this e-mail
should be forwarded to the
PJ please could you let us
know.
Many thanks,
Kind regards,
Yours sincerely,
Rachael and Matthew
Oldfield.
Page 4225
------ On Thurs, 17th April
2008, Prior Stuart wrote :
From : Prior Stuart
Subject : Re-enactment
questions
To : "Rachael Oldfield"
Date : Thursday, April 17th,
2008
Dear Rachael and Matthew,
As you are aware I had the
opportunity to discuss the
proposed re-enactment in
Portugal, of Madeleine's
disappearance with the PJ
Director and Senior
Investigating Officer Paulo
Rebelo. I explained the
concerns that you and the
other holidaying friends had
raised over your involvement
in this re-enactment.
He informed me that he would
consider the comments that
each of you made and would
discuss these issues with
Senior colleagues of the PJ
and the Prosecutor.
He has now had the
opportunity to do this and
has forwarded the attached
document to me which
explains the Portuguese
position in relation to the
concerns that you have
raised.
He has asked that I forward
a copy of this response to
each of you.
I trust that these answers
will assist you and the
others in reaching a
decision as to whether you
intend to participate in the
proposed re-enactment.
If you wish to discuss this
further then please do not
hesitate in getting in touch
with myself.
Stu
Page 4226
Leicestershire Constabulary. |
|
4229 to 4230 Email
re: Jes Wilkin's reply to
reconstruction
2008.04.28(English |
|
16 Processo 16 Pages
4229-4230 |
|
16_VOLUME_XVIa_Page_4229 |
 |
|
16_VOLUME_XVIa_Page_4230 |
 |
Page 4229 (Page 1 of 2)
From : Prior Stuart
Date : 24th April 2008
To : Ricardo Manuel Goncalves
Paiva
Subject : NOT PROTECTIVELY
MARKED : FW : Re-enactment
questions
Ricardo
here is Jes's reply
spk soon
Stu
From : Jes Wilkins (<email
address quoted>)
Sent : 16th April 2008
To : Prior Stuart
Subject : Re : Re-enactment
questions
Thanks Stuart,
As discussed with your
colleagues last week I still
feel reluctant to agree to
this for a number of reasons
including family and work
commitments, the likelyhood
of media intrusion and a
lack of information about
anything tangible or
constructive that is likely
to be achived by doing this.
I am happy to discuss
further if necessary.
Jes
----------Original
Message-------------
From : Prior Stuart
Sent : 16th April 2008
To : Jes Wilkins
Subject : Re-enactment
questions
Dear Jeremy,
As you are aware I had the
opportunity to discuss the
proposed re-enactment in
Portugal, of Madeleine's
disappearance with the PJ
Director and Senior
Investigating Officer Paulo
Rebelo. I explained the
concerns that you and the
other holidaying friends had
raised over your involvement
in this re-enactment.
He informed me that he would
consider the comments that
each of you made and would
discuss these issues with
Senior colleagues of the PJ
and the Prosecutor.
He has now had the
opportunity to do this and
has forwarded the attached
document to me which
explains the Portuguese
position in relation to the
concerns that you have
raised.
He has asked that I forward
a copy of this response to
each of you.
I trust that these answers
will assist you and the
others in reaching a
decision as to whether you
intend to participate in the
proposed re-enactment.
If you wish to discuss this
further then please do not
hesitate in getting in touch
with myself.
Stu
Page 4230 (page 2 of 2)
Stu Prior
Detective Superintendent
Crime Support Department
Leicestershire Constabulary |
|
4231 to 4233 Email
from Fiona Webster (Payne)
2008.04.28 ( English)
|
|
16 Processo 16 Pages 4231 to
4233 |
|
16_VOLUME_XVIa_Page_4231 |
 |
|
16_VOLUME_XVIa_Page_4232 |
 |
|
16_VOLUME_XVIa_Page_4233 |
 |
Page 4231 (Page 1 of 2)
From : Prior Stuart
Date : 28th April 2008
To : Ricardo Manuel Goncalves
Paiva
Subject : Re-enactment
questions
Ricardo
As with the others, seems
that they would be prepared
to attend if the questions
they ask are satisfied.
Stu
From : fiona webster (e-mail
address quoted)
Sent : 25th April 2008
To : Prior Stuart
Subject : Re : Re-enactment
questions
Dear Stuart,
We have deliberated an awful
lot about whether we should
participate in the
re-enactment or not. It is
not an easy decision as
nothing about this case is
straightforward.
We appreciated that paulo
Rebelo attempted to answer
many of our concerns however
we are still left feeling
very uncertain of the
motives in organising a
re-enactment. What
information are they hoping
to gain and how exactly is
it going to help in moving
the investigation on in a
positive direction ? As you
know, we feel we would be
making ourselves and our
families extremely
vulnerable by returning to
Portugal and would like to
be persuaded that doing this
would be wholly beneficial
to the investigation....and
FINDING MADELEINE. As yet we
remain unconvinced.
We remain open to further
discussion regarding this
key issue.
Please feel free to call if
you would like to discuss
this in person.
Many kind regards,
Fiona and David Payne.
Page 4232 (Page 2 of 2)
-----------Original
Message--------------
From : Prior Stuart
To : fiona webster
Sent : Wednesday, April
16th, 2008
Subject : Re-enactment
questions
Dear Fiona, Dianne and
David,
As you are aware I had the
opportunity to discuss the
proposed re-enactment in
Portugal, of Madeleine's
disappearance with the PJ
Director and Senior
Investigating Officer Paulo
Rebelo. I explained the
concerns that you and the
other holidaying friends had
raised over your involvement
in this re-enactment.
He informed me that he would
consider the comments that
each of you made and would
discuss these issues with
Senior colleagues of the PJ
and the Prosecutor.
He has now had the
opportunity to do this and
has forwarded the attached
document to me which
explains the Portuguese
position in relation to the
concerns that you have
raised.
He has asked that I forward
a copy of this response to
each of you.
I trust that these answers
will assist you and the
others in reaching a
decision as to whether you
intend to participate in the
proposed re-enactment.
If you wish to discuss this
further then please do not
hesitate in getting in touch
with myself.
Stu
Stu Prior
Detective Superintendent
Crime Support Department
Leicestershire Constabulary |
|
4235 to 4236 Email
from Stuart Prior to Ricardo
Paiva 2008.04.28(English) |
|
16 Processo 16 Pages 4235 to
4236 |
|
16_VOLUME_XVIa_Page_4235 |
 |
|
16_VOLUME_XVIa_Page_4236 |
 |
Table of Contents : Vol
16..(PDF pages 105,
106)..Pages 4235 to 4236-
"Email from Stuart Prior to
Ricardo Paiva 2008.04.28"
(For transference to
relevant Thread within the
Table of Contents Thread)
Page 4235 (Page 1 0f 2)
From : Prior Stuart
Date : 28th April 2008
To : Ricardo Manuel Goncalves
Paiva
Subject : Reply to PJ- 23rd
April
Annexes : Reply to PJ- 23rd
April.doc
Ricardo, the final reply
sorry for the slight delay
but something came up.
again they seem to be saying
that if certain questions
are answered and issues
resolved they would be
willing to attend.
give me a call when you have
read the 3 replies.
Stu
From : Russell O'Brien
(<e-mail quoted>)
Sent : 25th April 2008
To : Prior Stuart
Subject : Reply to PJ- 23rd
April
Dear Stuart,
Please find attached our
reply to Mr Rebelo's letter.
Thanks for forwarding this
on our continued concerns
regarding the re-enactment.
I hope the rest of the
interviews went well and
thanks for arranging them in
such a sensitive manner for
us.
Hope you are well,
Yours,
Russell and Jane
--------------------------------
Page 4236 (Page 2 of 2)
Thank you for your
co-operation.
(Leicestershire
Constabulary) |
|
4237
Letter from O'Brien and
Tanner re.reconstruction
2008.04.23 (English)
|
|
16 Processo 16 Page 4237 |
|
16_VOLUME_XVIa_Page_4237 |
 |
[Processo/16 - VOLUME XVIa.pdf P106
]
xx xxxxxx xxxx
Exeter
Devon
xxx xxx
23rd April 2008
Re: Re-enactment of Events of
3/5/2008
Dear Stuart, Many thanks for your
email, and for forwarding the reply
from Senhor Rebelo. Also, thanks to
you and your colleagues for
arranging the re-interviews.
It is somewhat reassuring to see in
writing from the PJ that there are
"no suspicions over [us] regarding
the commission of any criminal
acts." However, we heard something
similar in the weeks before Kate and
Gerry were made arguidos!
Additionally, the thrust of the PJ's
closed questions during the
re-interviews seemed only to focus
on Kate and Gerry's culpability,
suspicion about our written timeline
or who involved the media.
After a year of lies, accusations
and intrusion, I am sure that the Mr
Rebelo can appreciate our complete
revulsion at what Kate and Gerry
have been forced to endure.
Furthermore, we cannot help but feel
that the re-interviews and
re-enactment are all too little and
far too late.
However, the last thing we would
ever want is a standoff between us
and the PJ, something that would
only delight and benefit the press.
Kate and Gerry desperately need the
cloud of suspicion over them to be
emphatically lifted, and the PJ need
to complete their investigation. We
also appreciate the legal obstacles
to removing Kate and Gerry's arguido
status, but would request that prior
to us agreeing to the re-enactment
the PJ:
' publicly dispels the damaging and
disturbing lies churned out by the
Portuguese press regarding alleged
changes to statements, re-interviews
or alleged lack of co-operation.
' publicly states there are "no
suspicions over [us] regarding the
commission of any criminal acts."
This in no way compromises judicial
secrecy.
This in no way compromises judicial
secrecy. But without some official
intervention on their part, a return
for the re-enactment seems little
more than a perfect opportunity for
the press to speculate and libel us
all once again.
We are very keen to help an
investigation aiming to establish
what's happened to Madeleine, but
have no desire to assist one that
seeks only to damn our innocent
friends. By actively restoring the
focus on Madeleine and robustly
dispelling the countless
speculation, the PJ can expect our
continued co- operation.
Yours sincerely,
Russell O'Brien & Jane Tanner
PS: We certainly do not request any
specific reimbursement for travel or
accommodation.
|
|
|
4241 Email from
Rebelo to Stuart Prior re
details of reconstruction
2008.04.29 (English) |
|
16 Processo
VOLUME XVIa page 4241 |
|
16_VOLUME_XVIa_Page_4241 |
 |
Processo/16 -
VOLUME XVIa.pdf P111 ]
Vol XVI p. 4241
Paulo Fernando Gaspar Rebelo
De: Paulo Fernando Gaspar Rebelo Enviado: terca-feira, 29 de
Abril de 2008 1502
Para: 'Prior Stuart'
Assunto: FW: Witnesses' Questions
De: Paulo Fernando Gaspar Rebelo Enviada: terca-feira, 29 de
Abril de 2008 12:39 Para: 'Prior Stuart' Assunto: Witnesses'
Questions
Dear Stuart,
In Portugal, the criminal investigation is conducted by the
Policia Judiciaria, under the supervision of the Public
Prosecutor's Office. The competence to evaluate the interest and
need for the performance of any criminal inquiry acts lies with
these two entities, not with the witnesses.
In fact, according to Portuguese law (article 132, section 1,
subsection a) of the Code of Criminal Procedure), whenever a
witness summons is served, the witness is compelled to attend
the authorities so that any action mentioned in the summons may
take place.
Following the messages sent by the witnesses, I hereby inform
you that both the PJ and the Public Prosecutor responsible for
the investigation consider all the questions and doubts
previously raised by the witnesses to have been properly
answered.
Therefore, in this context and in a clear way, the witnesses
shall inform, till tomorrow noon, if they will attend (or not
attend) the re-enactment.
Thanks once again for your valuable cooperation.
Best regards Paulo Rebelo
CSIC |
|
4243 Email from Stuart Prior re: Tanner and OBrien response
2008.04.30
|
|
16-Processo Vol
16.... Page 4243.....(Page 1 of 1) |
|
16_VOLUME_XVIa_Page_4243 |
 |
Table
of Contents : Page 4243?"Email from
Stuart Prior re: Tanner and O'Brien
response 2008.04.30"
From : Prior Stuart
Date : 30th April 2008
To : Ricardo Manuel Gon?lves Paiva
Subject : FW : Re-enactment
Ricardo
This is the first of the replies. It
implies that after Legal Advice is
sought then Jane and Russell would
be prepared to take part.
Give me a call
Stu
From :
jmtanner@xxxxxxxx.com
Sent : 30th April 2008 11.27 am
To : Prior Stuart
Subject : Re-enactment
Dear Stuart,
Thank you for your detailed phone
call yesterday evening.
We write regarding Mr Rebelo's
request for a decision by noon
today. Jane and I agree in principle
to participate in the re-enactment.
However, given the change in nature
of the request, we feel it is
necessary to seek additional Legal
Advice to advise us on this course
of action.
Yours,
Russell O'Brien and Jane Tanner
|
|
|
|
4245 to 4246 Email from Rachel and Matthew Oldfield 2008.04.30 |
|
16-Processo Vol
16.... Page 4245.....(Page 1 of 2) |
|
16_VOLUME_XVIa_Page_4245 |
 |
|
16_VOLUME_XVIa_Page_4246 |
 |
able of
Contents : Pages 4245 to 4246?"Email from Rachel and Matthew
Oldfield 2008.04.30"
From : Prior Stuart
Date : 30th April 2008
To : Ricardo Manuel Gon?lves Paiva
Subject : FW : Witnesses' Questions
Ricardo
This is the reply from Rachael and Matthew. It implies that
after Legal Advice is sought then Rachel and Matthew may be
prepared to take part but are unable to do the dates the 15th to
the 17th May 2008.
Give me a call
Stu
---------------Original Message------------------
From : Rachael Oldfield
Sent : 30th April 2008 11.03 am
To : Prior Stuart
Cc : Matthew Oldfield
Subject : Witnesses' Questions
Dear Stuart,
Thank you for the e-mail and your voice message yesterday
evening. The tone of the reply from Portugal has changed and
Matthew and I feel we need to take Legal Advice before making a
commitment to return to Portugal.
In any event, it will now be impossible for us to make the 15th
to 17th May.
We would be grateful if you could get other dates from the
Portuguese when the reconstruction could take place.
We will speak to our Lawyer and come back to you in due course.
Please give me a call if you wish to discuss.
Kind regards,
Yours Sincerely,
Rachael and Matthew Oldfield
----------- On Wed, 30th April 2008, Prior Stuart, wrote :
From Prior Stuart
Subject : Witnesses' Questions
To : Rachael Oldfield
Date : Wednesday, 30th April, 2008 4.07 am
Dear Rachael and Matthew,
This is the response that I have received from Paulo Rebelo, the
Officer leading the Portuguese Investigation, following the
issues that you and your friends raised in relation to the
proposed re-enactment and his earlier replies.
I will call you shortly to discuss this further,
Thanks
Stu
Page 4246 (Page 2 of 2)
From : Paulo Fernando Gaspar Rebelo
Date : 29th April 2008 12.39 pm
To : Prior Stuart
Subject : Witnesses' Questions
Dear Stuart,
In Portugal, the Criminal Investigation is conducted by the
Policia Judiciaria, under the supervision of the Public
Prosecutor's Office.
The competence to evaluate the interest and need for the
performance of any Criminal Inquiry lies with these two
entities, not with the witnesses.
In fact, according to Portuguese Law (article 132, Section 1,
subsection a) of the Code of Criminal Procedure), whenever a
Witness Summons is served, the witness is compelled to attend
the Authorities so that any action mentioned in the Summons may
take place.
Following the messages sent by the wittnesses', I hereby inform
you that both the PJ and the Public Prosecutor responsible for
the Investigation consider all the questions and doubts
previously raised by the witnesses' to have been properly
answered.
Therefore, in this context and in a clear way, could the
witnesses' inform you, by noon tomorrow, if they will attend (or
not attend) the re-enactment.
Thanks once again for your valuable cooperation,
Best regards
Paulo Rebelo
CSIC |
|
4248 to 4250 Email from Fiona and David Payne re reconstruction
2008.04.30 |
|
16-Processo Vol
16....Page 4248 to 4250 |
|
16_VOLUME_XVIa_Page_4248 |
 |
|
16_VOLUME_XVIa_Page_4249 |
 |
|
16_VOLUME_XVIa_Page_4250 |
 |
Table of
Contents : Pages 4248 to 4250?"Email from Fiona and David Payne
re reconstruction 2008.04.30"
Processo Vol 16....Page 4248 (Page 1 of 3)
From : Prior Stuart
Date : 30th April 2008
To : Ricardo Manuel Gon?lves Paiva
Subject : FW : Witnesses' Questions
Ricardo
This is the reply from Fiona, David and Dianne.
It implies that after Legal Advice is sought then Fiona, David
and Dianne may be prepared to take part.
They make it clear that they are not refusing to take part.
Give me a call
Stu
( Note : in the part of the e-mail which says "it implies that
etc", the original text referred to Rachael and Matthew may be
prepared to take part. I presume that this was an error on Mr
Prior's part, and have entered the names of Fiona, David and
Dianne instead )
From : Fiona Webster ( fionaelainewebster@xxxxx.com
)
Sent : 30th April 2008, 10.37 am
To : Prior Stuart
Subject : Witnesses' Questions
Dear Stuart,
Thank you for your e-mail. We did get your message on my phone
also.
Having read the attached letter, there appears to be a shift in
the nature and the tone of the request for the re-enactment from
something informal and friendly to a formal summons. We do not
understand the laws that are being quoted and thus feel it is
essential to seek legal advice.
We want to make it absolutely clear that we are NOT refusing to
take part in this re-enactment.
Kind regards
Fiona and David Payne
-------------------Original Message----------------
From Prior Stuart
To : fiona webster
Sent : Tuesday, 29th April, 2008 7.04 pm
Subject : Witnesses' Questions
Dear Fiona, David and Dianne,
This is the response that I have received from paulo Rebelo, the
Officer leading the Portuguese Investigation, following the
issues that you and your friends raised in relation to the
proposed re-enactment and his earlier
Page 4249 (Page 2 of 3)
replies.
I will call you shortly to discuss this further,
Thanks
Stu
From : Paulo Fernando Gaspar Rebelo
Date : 29th April 2008 12.39 pm
To : Prior Stuart
Subject : Witnesses' Questions
Dear Stuart,
In Portugal, the Criminal Investigation is conducted by the
Policia Judiciaria, under the supervision of the Public
Prosecutor's Office.
The competence to evaluate the interest and need for the
performance of any Criminal Inquiry lies with these two
entities, not with the witnesses.
In fact, according to Portuguese Law (article 132, Section 1,
subsection a) of the Code of Criminal Procedure), whenever a
Witness Summons is served, the witness is compelled to attend
the Authorities so that any action mentioned in the Summons may
take place.
Following the messages sent by the witnesses', I hereby inform
you that both the PJ and the Public Prosecutor responsible for
the Investigation consider all the questions and doubts
previously raised by the witnesses' to have been properly
answered.
Therefore, in this context and in a clear way, could the
witnesses' inform you, by noon tomorrow, if they will attend (or
not attend) the re-enactment.
Thanks once again for your valuable cooperation,
Best regards
Paulo Rebelo
CSIC
Page 4250 (Page 3 of 3)
Thank you for your cooperation.
Leicestershire Constabulary. |
|
4252 to 4254 Email from Jes Wilkins re reconstruction 2008.04.30 |
|
16-Processo Vol
16....Page 4252 to 4254 |
|
16_VOLUME_XVIa_Page_4252 |
 |
|
16_VOLUME_XVIa_Page_4253 |
 |
|
16_VOLUME_XVIa_Page_4254 |
 |
Table of
Contents : Pages 4252 to 4254?"Email from Jes Wilkins re
reconstruction 2008.04.30"
Processo Vol 16....Page 4252 (Page 1 of 3)
From : Prior Stuart
Date : 30th April 2008
To : Ricardo Manuel Gon?lves Paiva
Subject : FW : Witnesses' Questions
Ricardo
This is the reply from Jes.
It implies that if each of the other witnesses' are going to
take part then Jes will consider his position as to whether he
will attend or not.
Give me a call
Stu
From : Jes Wilkins ( Jes@xxxxxx.uk.com
)
Sent : 30th April 2008 12.09 pm
To : Prior Stuart
Subject : Witnesses' Questions
Thanks for this and for your message.
I'm not sure what they mean by witnesses' being compelled to
attend as my understanding is that I am under no obligation ?
My position remains the same really. As you mentioned in your
message last night if everyone else is on board and I am the
only outstanding person saying no I would be more likely to
reconsider.
Feel free to call me if you wish to discuss it further.
Best
Jes
--------------------Original Message--------------------
From : Prior Stuart
Sent : 29th April, 2008 19.10
To : Jes Wilkins
Subject : Witnesses' Questions
Dear Jes,
This is the response that I have received from Paulo Rebelo, the
Officer leading the Portuguese Investigation, following the
issues that you and your friends raised in relation to the
proposed re-enactment and his earlier replies.
I will call you shortly to discuss this further,
Thanks
Stu
Page 4253 (Page 2 of 3)
From : Paulo Fernando Gaspar Rebelo
Date : 29th April 2008 12.39 pm
To : Prior Stuart
Subject : Witnesses' Questions
Dear Stuart,
In Portugal, the Criminal Investigation is conducted by the
Policia Judiciaria, under the supervision of the Public
Prosecutor's Office.
The competence to evaluate the interest and need for the
performance of any Criminal Inquiry lies with these two
entities, not with the witnesses.
In fact, according to Portuguese Law (article 132, Section 1,
subsection a) of the Code of Criminal Procedure), whenever a
Witness Summons is served, the witness is compelled to attend
the Authorities so that any action mentioned in the Summons may
take place.
Following the messages sent by the wittnesses', I hereby inform
you that both the PJ and the Public Prosecutor responsible for
the Investigation consider all the questions and doubts
previously raised by the witnesses' to have been properly
answered.
Therefore, in this context and in a clear way, could the
witnesses' inform you, by noon tomorrow, if they will attend (or
not attend) the re-enactment.
Thanks once again for your valuable cooperation,
Best regards
Paulo Rebelo
CSICPage 4254 (Page 3 of 3)
Thank you for your cooperation.
Leicestershire Constabulary. |
|
4256
- Letter re: Tapas response
to reconstruction |
|
Processos Vol XVI Page 4256 |
|
16_VOLUME_XVIa_Page_4256 |
 |
NUIPC - 201/07.0GALGS
4th Brigade
Inspector Joao Carlos
To: The Coordinator of the Criminal Investigation
With regard to the express mention in the Letter of request sent
to the UK authorities, which requests that various of the
witnesses pronounce themselves as regards to their availability
to travel to Portugal with the aim of participating in a
reconstruction of the events, different positions about the
subject from these witnesses were received by Leicester Police.
These positions, reached after various requests for
clarification from the witnesses in question, are contained in
the messages that precede this note.
I submit these for your consideration.
CONCLUSION
Portimao 30th April 2008
Signed
Inspector
Joao Carlos |
|
4257
to 4259
- Letter re: Tapas response
to reconstruction |
|
Processos Vol XVI Pages 4257
to 4259 |
|
16_VOLUME_XVIa_Page_4257 |
 |
|
16_VOLUME_XVIa_Page_4258 |
 |
|
16_VOLUME_XVIa_Page_4259 |
 |
From The Public Prosecutor's
Office
Portimao Circuit
Conclusion on 2-5-2008
The reconstruction of the
events is an act foreseen in
Portuguese Law (article no.
150 of the Penal Process
Code, the transcription
follows this communication
and forms an integral part
of it) consisting of the
reproduction, as faithful as
possible, of the conditions
under which the events or
supposed events took place
and of its repetition.
The re-enactment has a very
particular nature in the
present process files as it
aims to reconstruct events
that occurred almost a year
ago, aiming to achieve an
approximation of the
conditions that occurred
and, on the other hand, not
under estimating the
inconvenience represented by
the travelling of a group of
citizens to Portugal, in
spite of this representing a
mark of solidarity amongst
friends as well as a
particularly painful and
difficult situation amongst
friends.
Although this is considered
to be a very important
diligence for the
investigation,
it will only take place if
the witnesses indicated
below are present,
taking into account that the
arguidos have already
manifested their
availability to participate
in the reconstruction.
The objective is that all
the participants (the
arguidos Gerald McCann and
Kate Healy, the witnesses
who on 3rd May 2007 were
dining in the Tapas
Restaurant and would leave
to check whether their
children were sleeping in
their respective apartments,
as well as another witness
who spoke to the aguido
Gerald) repeat what they did
that day, as faithfully as
their memory allows them to,
in order to check what was
said in the statements in
the process files, enabling
conclusions to be made about
how things took place at the
scene and thereby make
adjustments to enable the
investigation evaluate the
need for any additional
procedure.
The reconstruction in which
the persons referred to
previously would
participate, as well as
incidentally any other
protagonist whose presence
may be necessary in order to
visualise the events, would
take place between 17.30 and
23.00 on the 15th, being the
day destined for formalising
all diligences, this being
the date previously combined
and of which all
participants were informed,
which is not susceptible to
change given the
circumstances of time and
place in which this would
occur.
The reconstruction would
take place in the space of
the Tapas restaurant, the
apartments blocks where the
events occurred and
surrounding areas, done by
the PJ with recourse to
filming and with the
collaboration of all police
entities that the PJ summons
for collaboration.
The notification of the
arguidos Gerald and Kate
will be done through their
legal representatives and
that of the witnesses, David
Anthony Payne, Fiona Payne,
Dianne Webster, Russel O'
Brien, Jane Tanner, Matthew
Oldfield, Rachel Mampilly
and Jeremy Wilkins will be
done through collaboration
with the UK police upon
request from the PJ, copy of
this communication should be
delivered regarding the
reconstruction to each of
the participants.
Please prepare accordingly.
Annex: transcription of
article 150 of the CPP:
Of the Reconstruction of
Events
Article 150
Presumptions and Proceedings
1. When it is necessary to
determine if an event could
have happened in a certain
manner, it is admissible to
proceed to its
reconstruction. This
consists of a reproduction,
as faithful as possible, of
the conditions in which the
event was reported or
supposedly occurred and of
the repetition of the way in
which this occurred.
2. The office that orders
the reconstruction of events
should have a succinct
indication of its objective,
the day, time and place in
which the diligences would
take place and the form of
their effectiveness,
eventually with recourse to
audio-visual means. The same
office can be designated as
the evaluator for the
execution of determined
operations.
3. Publicity of the
diligence should, as far as
possible, be avoided.
Remitted to the process
files and to Mmo JIC: as a
result of communication
dated 14-1-2008 (page 3835)
the period for the inquiry
began with the entry into
force of the reform to the
CPP, in other words on
15-9-2007, therefore this
period is of 8 months as
foreseen in article 276 no.
1 of the CPP, meanwhile the
investigation continues with
various other diligences,
now with the compliance of
the Letter of Request sent
to the UK authorities and
with the reconstruction that
will take place this month,
which renders unviable the
presentation of the final
archiving or accusation
despatch. Lastly, but not
less importantly the
progress of the
investigation inquiries
demands that access to the
process files be postponed
for a period of 3 months, to
be determined in the terms
laid down in article 89 no.
of the CPP. |
|
4260
Subject:
Despatch
Further information re:
reconstruction details and
operation |
|
Processos Vol XVI Page 4260 |
|
16_VOLUME_XVIa_Page_4260 |
 |
From: Portimao Public
Ministry
To: Rogerio Alves
Process 201-07 GALGS
Date: 05-05-2008
Subject: Despatch
You are notified, in your
capacity as legal
representative of the
arguida Kate Marie Healy, of
the terms for the following
effects:
Of all the contents of
despatch in the process
files mentioned above, a
copy of which is attached.
Mara Lucia Nascimento Duarte |
|
4261
-
Subject:
Despatch
Further information re:
reconstruction details and
operation |
|
Processos Vol XVI Page 4261 |
|
16_VOLUME_XVIa_Page_4261 |
 |
From: Portimao Public
Ministry
To: Rogerio Alves
Process 201-07 GALGS
Date: 05-05-2008
Subject: Despatch
You are notified, in your
capacity as legal
representative of the
arguido Gerald Patrick
McCann, of the terms for the
following effects:
Of all the contents of
despatch in the process
files mentioned above, a
copy of which is attached.
Mara Lucia Nascimento Duarte |
|
4266
- Letter from Francisco
Pagarete re Robert Murat |
|
Processos Vol XVI Page 4266 |
Portimao Public Ministry
Process 201-07.0 GALGS
Date: 15-05-2008
Denouncer: Gerald Patrick
McCann and others
Arguido: Unknown and others
Terms of Annexing
On 15-05-2008 I join the
following communication
received by our services to
await the beginning of the
inquiry.
Signed
Maria Luisa Nascimento Duarte |
|
4267
to 4268
- Cover letter re: witness
rights to Tapas 7 and
Wilkins |
|
Processos Vol XVI Pages 4267
to 4268 |
|
The Public Prosecutor
Portimao Circuit
Conclusion on 8-5-2008
It was noted that the
circumstance of the date
designated for the
reconstruction is not
compatible with the
formalities required for the
notification of witnesses.
Therefore the days now
designated are the 29th and
30th May 2008:
A: Notify the arguidos
Gerald McCann and Kate Healy
of this despatch in person,
by means of their legal
representatives.
B: Notify by means of
registered express mail, the
terms laid down in article
5 no.1 of the CONVENTION
RELATING TO MUTUAL LEGAL
ASSISTANCE IN PENAL MATTERS
BETWEEN THE MEMBER STATES OF
THE EUROPEAN UNION, signed
in Brussels on 29th May
2000, the witnesses indicate
as follows:
1. David Payne (DOB
14-04-66)
Fiona Payne (DOB 29-08-72)
2. Matthew Oldfield (DOB
04-01-69)
Rachel Mampilly (DOB
11-11-70)
3. Dianne Webster
4. Russell O'Brien
Jane Tanner
5. Jeremy Wilkins
C Also notify the witnesses
that they can obtain
information from the
Portuguese authorities about
their rights and obligations
relating to the
reconstruction (no. 4 of
article 5 of the Convention
mentioned before).
D. Notify the witnesses that
the Portuguese authorities
guarantee the payment of
travel and accommodation
costs for the
reconstruction.
E. Remit an English
translation of the previous
despatch from the process
files about the
reconstruction with the
changes required for the
newly designated days |
4272 to 4279
- Cover letter re: witness
rights to Tapas 7 and
Wilkins4272.Jeremy Wilkins
4273 Jane Tanner
4274 Russell O'Brien
4275 Dianne Webster
4276
Rachel
Mampilly
4277 Matthew
Oldfield
4278 Fiona Payne
4279 David Payne |
|
Processos Vol XVI Pages 4272
- 4279 |
|
(In English)
Public Ministry Portimao
Process: 201.07.0GALGS
Date: 09-05-2008
Notified by registered post
with prove (sic) of
reception
As a witness, you are hereby
notified under the terms and
for the effects as to
follow:
- Of all the contents of the
dispatched pronounced in the
acts above, which copy is
attached.
(The present notification is
presumed to be accomplished
on the 9rd working day after
its been sent - art 113
no 2 of the Penal Code.
Maria Luisa Nascimento Duarte
The same letter is sent to
all the witnesses:
4272. Jeremy Wilkins
4273 Jane Tanner
4274 Russell O'Brien
4275 Dianne Webster
4276
Rachel
Mampilly
4277 Matthew
Oldfield
4278 Fiona Payne
4279 David Payne
|
16_VOLUME_XVIa_Page_4271 |
16_VOLUME_XVIa_Page_4272 |
16_VOLUME_XVIa_Page_4273 |
 |
 |
 |
|
16_VOLUME_XVIa_Page_4274 |
16_VOLUME_XVIa_Page_4275 |
16_VOLUME_XVIa_Page_4276 |
 |
 |
 |
|
16_VOLUME_XVIa_Page_4277 |
16_VOLUME_XVIa_Page_4278 |
16_VOLUME_XVIa_Page_4279 |
 |
 |
 |
|
|
4280
- Letter re: Gerald McCann
procedural rights |
|
TRANSLATED BY INES |
16
Processos Vol XVI Page 4280
also Processos Vol XVI Page
4285 |
|
16_VOLUME_XVIa_Page_4280 |
 |
|
16_VOLUME_XVIa_Page_4285 |
 |
Processes Section
Process no. 201/07.0 GALGS
Date: 12 May 2008 [date on
stamp signed by Justice
Officer no 841347(signature
unintelligible)]
To:
Excellency Public Ministry
Magistrate
Portimao Public Ministry
Services
Gerald Patrick McCann,
arguido
identified in the above
mentioned process acts, has
been today notified that the
days 29 and 30 May 2008 were
designated for the
reconstruction of facts
[translator note: events],
He requires to your
Excellency the postponement
of the said step
[diligence], given the
impossibility of his
mandatory [representative]
to attend on the designated
days, since on 29th May he
will be at the audience of
the judgement (of an
arguido subject
to the obligation of
remaining at his residence
[in PT: T.I.R. - Termo de
Identidade e Residencia]) of
the process number 9872/06.4
TDLSB, which is happening at
the 2nd Criminal Court of
Oeiras District and, on the
30th May will be in the last
session of the audience of
the judgement of the process
no. 1774/02.0 TAALM, which
will happen at the 3rd Court
of Criminal Competence of
Almada's district, where the
final allegations will take
place. Adding that the above
mentioned diligence, set for
the 30th, was inclusively,
subject of a postponement
since it coincided with the
date initially set for the
reconstruction.
Therefore, given the
impossibility of postponing
the abovementioned audiences
[trials] and due to the
essentiality of the presence
of the undersigned in the
reconstruction of which he
was now notified for the
reconstruction of the facts
and on the two above
mentioned diligences [the
trials], it is requested to
your Excellency to start
proceedings to set a new
date for the making of the
reconstruction. Thus,
manifesting here the
complete availability in the
agenda for the days 5 and 6
of June and 19 and 20 of the
same month.
sent: legal duplicates
Signature and official
lawyer's order stamp
Carlos Pinto de Abreu
sent via fax on 09.05.2008
Friday, at 22.05
|
|
4281
- Letter re G. McCann and
reconstruction |
|
16 Processos Vol XVI Page
4281 |
|
16_VOLUME_XVIa_Page_4281 |
 |
Conclusion
12-05-2008
Request made by Gerald
McCann presented at 22H26 on
9-5-2008 by fax:
The days 29 and 30 May 2008
designated for the
reconstruction, already
represent an alteration that
it was necessary to make
with regard to the dates
originally foreseen because
of taking into account the
approximation to the
conditions in which the
events occurred.
The this is added the fact
that the type of action
necessary for the
reconstruction involves
complex logistics in order
to find a balance between
the various interests and
factors in play, given that
the site where the
reconstruction would take
place is a tourist resort
with much presence, namely
of foreigners on holiday,
having all the inconvenience
that this would bring.
It is therefore not viable
to proceed to the new
alteration, unfortunately
because of the balance
mentioned above not being
able to count with the
interests referred by your
illustrious self on the
arguido Gerry McCann,
however, in the hope a
solution is found.
The requested change of date
is therefore refused. |
|
4301 Letter from Rebelo to Stuart Prior 06.05.2008 (English) |
|
16-Processo Vol
16 Page 4301 |
|
16_VOLUME_XVIa_Page_4301 |
 |
Table of
Contents : Vol 16..(PDF page 170 )..Page 4301?"Letter from
Rebelo to Stuart Prior 06.05.2008 (English)"
Vol 16 Page 4301 (Page 1 of 1)
Portimao, 6th May 2008
Caro Stuart :
Here we send you the Prosecutor's decision regarding the
re-enactment.
We kindly request you to notify the witnesses, officially, and
we also request the confirmation of the receptions by the
witnesses.
Thank you again for your cooperation.
Best regards
(signed)
Paulo Rebelo
CSIC
P.S. At this moment, we have our e-mail system unavailable. As
soon as possible, we'll send the notifications in that way, in
Portuguese and English. |
|
4303 to 4305 Legal details re reconstruction and Portuguese law
(English) |
|
16- Processo 16
Pages 4303 to 4305 |
|
16_VOLUME_XVIa_Page_4303 |
 |
|
16_VOLUME_XVIa_Page_4304 |
 |
|
16_VOLUME_XVIa_Page_4305 |
 |
Table of
Contents : Vol 16..(PDF pages 172-174)....Pages 4303 to
4305?"Legal details re reconstruction and Portuguese law
(English)"
Vol 16 Page 4303 (Page 1 of 3)
Completed on 2nd May 2008.
=CLS=
The re-enactment of the fact is a procedure set forth in the
Portuguese Law (Section 150 of the Portuguese Code of Criminal
Procedure, which is below given as part of this order) and
consists of re-enacting, as accurately as possible, the
situation where an event is said or is supposed to have
occurred, and it also consists of repeating the way it has
happened.
The re-enactment has, in this inquiry, a rather particular
nature, taking into account that it aims at re-enacting facts
occurred about a year ago, by means of a proximity to the
situation in which they occurred, and also being aware of the
inconvenience that a trip to Portugal might represent to a group
of British Citizens, although knowing that it represents a
milestone of solidarity among friends and towards friends who
find themselves in a particularly painful and difficult
situation.
It shall also be noted that, although this procedure is
considered to be very important to the investigation, it will
only take place if all the below mentioned witnesses are
present, considering that the arguidos (formal suspects) have
already shown they are available to participate in the
re-enactment.
The purpose is to gather all the participants - the arguidos
Gerald McCann and Kate Healy, the witnesses who were having
dinner at the Tapas Restaurant on 3rd May 2007, and who took
turns to check on their children who were sleeping in the
respective apartments, as well as another witness who spoke with
the arguido Gerald-, who will perform what they did on the
abovementioned date, as accurately as they recall, so that what
is in their written statements can be confirmed. This will allow
conclusions to be drawn on how things happened on site, thus
making adjustments that will allow the investigation to
determine the need for any supplemental procedure.
Page 4304 (Page 2 of 3)
The re-enactment that shall have the participation of the
abovementioned group of people, as well as of any character
whose figurative presence might be necessary to the
visualization of the events, shall take place on 15th May,
between 5.30 p.m. and 11.00 p.m. On 16th May all the procedure
shall be formalized, according to what had already been settled
for this date and considering that all the participants meant to
be present have already been informed accordingly. This cannot
be subject to any change due to the time and place where the
procedure shall take place.
The re-enactment will be performed at the space of the
abovementioned Restaurant, Block of Apartments where the facts
occurred on that date, and in the surrounding area, and it will
be carried out by the Policia Judiciaria, with the respective
video recording and with the cooperation of the Police
Authorities required by the PJ.
The arguidos Gerald and Kate shall be notified through their
Legal Representatives. The notification of the witnesses David
Anthony Payne, Fiona Elaine Payne, Dianne Webster, Russell James
O'Brien, Jane Michelle Tanner, Matthew David Oldfield, Rachael
Mariamma Jean Manpilly and Jeremy Wilkins shall be made with the
cooperation of the British Police, at Policia Judiciaria's
request.
Each notified person shall receive a copy of this Order -
concerning the re-enactment.
Proceed accordingly.
APPENDIX - Copy of Section 150 of the Portuguese Code of
Criminal Procedure
Of the re-enactment of events
Section 150
Assumptions and Procedure
1- A re-enactment of events is admissible whenever deemed
necessary to ascertain whether a fact could have occurred in a
determined way. This consists of reproducing,
Page 4305 (Page 3 of 3)
as accurately as possible, the situation in which the fact is
said to have occurred or is supposed to have occurred, as well
as of repeating the way it has happened.
2- The Order requring the re-enactment of the fact shall bear a
short indication as to it's object, date, time and place where
the procedure shall take place as well as to the way it will be
carried out, eventually using audiovisual means. The same Order
shall appoint experts to carry out specific operations.
3- Publicity of the proceedings shall be avoided as much as
possible. |
|
4306 Confirmation fax sent |
|
16- Processo -
Vol 16 Page 4306 |
|
16_VOLUME_XVIa_Page_4306 |
 |
Table of
Contents : Vol 16..(PDF page 175 ).....Page
4306...."Confirmation fax sent"
Vol 16 Page 4306 (Page 1 of 1)
FAX
Portimao, 6th May 2008
Caro Stuart :
Here we send you the Prosecutor's decision regarding the
re-enactment.
We kindly request you to notify the witnesses, officially, and
we also request the confirmation of the receptions by the
witnesses.
Thank you again for your cooperation.
Best regards
(signed)
Paulo Rebelo
CSIC
P.S. At this moment, we have our e-mail system unavailable. As
soon as possible, we'll send the notifications in that way, in
Portuguese and English. |
|
4307 Letter to Stuart Prior |
|
16 - Processo
Vol 16 Page 4307 |
|
16_VOLUME_XVIa_Page_4307 |
 |
Table of
Contents : Vol 16..(PDF page 176).....Page 4307..."Letter to
Stuart Prior"
Vol 16 Page 4307 (Page 1 of 1)
Joao Carlos Silva Pereira
From : Joao Carlos Silva Pereira
Date : 6th May 2008
To :
stuart.prior@leicestershire.pnn.police.uk
Subject : Re-enactment
Annexes : FW : Forwarding final reconstitution version; Sending
of translation.
Dear Stuart
Here we send you the Prosecutor's decision regarding the
re-enactment.
We kindly request you notify the witnesses, officially, and we
also request the confirmation of the receptions by the
witnesses.
Thank you for your cooperation.
Best regards
Paulo Rebelo CSIC |
|
4310 Emails to/from
Prior and PJ re tapas
response (English) |
|
16 Processo 16
VOLUME XVIa. Pages 4310 |
|
16_VOLUME_XVIa_Page_4310 |
 |
Email from J. Tanner
to Stuart Prior
Processo/16 - VOLUME XVIa.pdf)
Vol XVI p. 4310
08 May 2008 10:05
(Processo/16 - VOLUME XVIa.pdf
P179,180)
Dear Stuart,
Thanks for your call last night.
I spoke with Rachel last night who
is chasing Brian Spiro for a
response to our legal queries. We
are hoping to have that today.
Until then we cannot give a
definitive answer. However I believe
Matt and Rachael cannot do that
date, so it may be immaterial
anyway!
I would just like like to reiterate
what I said last night, in that it
is so sad we have to consider so
many peripheral issues rather than
just doing everything we can do to
help find Madeleine.
Thanks and regards.
Jane
|
|
|
|
4312 Email from
Rachel and Matthew deciding not to take part in re-enactment
2008.05.10 (English) |
|
16 Processo 16
VOLUME XVIa.
page 4312 |
|
16_VOLUME_XVIa_Page_4312 |
 |
Email from Rachael
Oldfield to Stuart Prior
10 May 2008 10:14
(Processo/16 - VOLUME XVIa.pdf
P181,182)
Vol XVI p. 4312
Dear Stuart,
Further to our recent emails,
Matthew and I have made the decision
not to return to Portugal for the
proposed re-enactment on 15th/16th
May 2008.
We will respond to the formal
notification when we receive it as
well.
If you need anything further from
us, please do not hesitate to give
me a call.
Kind regards.
Rachael Oldfield
|
|
|
|
4314 to 4315 Email
from Wilkins, Diane, David,
Fiona deciding not to take
part in re-enactment
2008.05.10 (English) |
|
16 Processo 16
VOLUME XVIa. page 4314-4315 |
|
16_VOLUME_XVIa_Page_4314 |
 |
|
16_VOLUME_XVIa_Page_4315 |
 |
Email from
Russell O'Brien to Stuart Prior 10 May 2008 14:56
(Processo/16 - VOLUME XVIa.pdf P183,184,185)
Vol. XVI p. 4314
Dear Stuart.
Apologies for the late reply.
We gather now that at least Jez Wilkins, Matt and Rach and
Dave/Fi are not going/able to make the re-enactment. Given the
prosecutor's requirement for all to be in attendance or none at
all, and the absolute nature of the planned date, the decision
appears to be academic ...
I hope you are well.
Best wishes,
Russell & Jane |
4316 to 4317
Portuguese translation of
pages 4314 to 4315
4318 Further email
from Fiona and David
(English) |
|
16-Processo - VOLUME XVIa.page 4316 to 4318 |
|
16_VOLUME_XVIa_Page_4316 |
 |
|
16_VOLUME_XVIa_Page_4317 |
 |
|
16_VOLUME_XVIa_Page_4318 |
 |
Email from Fiona Webster to Stuart
Prior
12 May 2008 12:32
----------
Table
of Contents : Processo Vol 16..(PDF
page 186-187)...Pages 4317-4318..."4317-Further
email from Fiona and David (English)"
Processo Vol 16 Page 4317 (Page 1 of
2)
Ricardo Manuel Goncalves Paiva
From : Prior Stuart
Date : 12th May 2008 12:58
To : Ricardo Manuel Goncalves Paiva
Cc : Graham Michael : Walters Jane
Subject : FW : Portugal Re-enactment
Ricardo
and another one
Stu
Stu Prior
Detective Superintendent
Leicestershire Constabulary
(The above is referring to the added
e-mail from Fiona Webster which
follows)
From : fiona webster ( fionaelaine
webster@xxxxx.com)
Sent : 12th May 2008, 12.32
To : Prior Stuart
Subject : Re : Portugal
Re-enactment.
Dear Stuart
We have now had time to consider the
advice received from our legal team.
Taking into account the advice given
along with our many concerns
previously mentioned to you; we feel
we are unable to participate in the
propoed (sic) re-enactment in
Portugal.
Kind regards
Fiona and David Payne, and Diane
Webster
-----------------------------Original
Message------------------
From : Prior Stuart (
Stuart.Prior@Leicestershire.pnn.police.uk
)
To : fiona webster (
fionaelainewebster@xxxxx.com
Sent : Wednesday, 7th May, 2008,
5.52 p.m.
Subject : Portugal Re-enactment
Dear Fiona, David and Dianne,
Processo Vol 16 Page 4318 (Page 2 of
2)
I have received the attached
document from Portugal concerning
the request for you to attend the
proposed re-enactment on the 15th
and the 16th May, 2008. I would like
to confirm that this e-mail should
not be considered the service of the
formal notification, but due to the
short time scales involved is a
notification to enable you to
consider it's contents. The document
will be formally sent to you by the
Portuguese.
The request outlines the reasons for
the process and the Legal
justification as is appropriate for
persons residing in Portugal.
After you have considered this
e-mail, they have requested that if
possible you confirm via e-mail to
myself, whether you will be
attending or not to assist with
their planning of the event. I guess
this will be after you have
consulted your Legal team. I have
already relayed your previous
responses to the Portuguese and
explained that you would get back to
me after taking Legal Advice.
They again confirm that if any of
the witnesses do not wish to attend
then the re-enactment will not go
ahead, but I also appreciate that
Rachael and Matthew have indicated a
difficulty with the 15th and the
16th May, 2008.
Likewise I have been advised by the
Portuguese that they have no Legal
Powers to order you to attend and
there will be no penalty if you do
not do so.
Please do not hesitate to contact me
if you wish to discuss this further.
Stu
Stu Prior
Detective Superintendent
Crime Support Department
Leicestershire Constabulary |
|
|
4334 to 4335
-
FW Re-enactment Dates
Service information re
reconstruction with emails
and translations |
|
16 Processos Vol XVI Pages
4334 to 4335 |
|
16_VOLUME_XVIa_Page_4334 |
 |
|
16_VOLUME_XVIa_Page_4335 |
 |
(In English)
From : Stuart Prior
Sent: Friday, 23rd May 2008
To: Ricardo Paiva
Subject: FW Re-enactment
Dates
Ricardo,
This is the second reply I
have received, just waiting
for the final two.
Russell asks if the below
e-mail is all that is
required or do the O'Briens
need to do anything further
in response to the letter.
Will let you know when the
Paynes respond.
Stu.
From: Russell O'Brien
Sent: 23rd May 2008
To: Prior Stuart
Subject: RE: Re-enactment
Dates
Dear Stuart,
We gather that Rachel has
already contacted you saying
they won't be returning for
any re-enactment. Once
again, it seems an academic
matter if there is not going
to be 100% attendance.
Furthermore, we think it is
hard to imagine a productive
return to Portugal whilst
Kate and Gerry remain
arguidos. Secondly, the
Prosecutor astonishingly
referring to them as
'offenders' in their letter
implies they are already
considered to be guilty, and
will be treated as such by
the police and press.
Furthermore the leaking of
the date even before your
email completely contradicts
the letter's pretence to
secrecy for the
re-enactment.
It was not entirely clear
from the letter who to reply
to,. Judging from your email
below, is this
correspondence to you
sufficient?
Best wishes
Russell and Jane
From: Prior Stuart
Sent 15th May 2008
To: Russell O'Brien
Subject: Re-enactment Dates
Dear Jane and Russell,
Just for your information I
have been informed today
that the prosecutor in
Portugal has amended the
dates for the proposed
re-enactment to the 29th and
30th May 2008.
This new date will be within
the written notification
that has been sent to you
from the Portuguese
prosecutor's office.
When you have decided how
you will respond to this
further notification could I
ask that you notify myself.
If you wish to discuss this
matter further do not
hesitate to contact me.
Regards,
Stu |
|
4336
- Service information re
reconstruction with emails
and translations |
|
16 Processos Vol XVI Page
4336 |
|
16_VOLUME_XVIa_Page_4336 |
 |
NUIPC 201.07.01GALGS
To The Coordinator of the
Criminal Investigation
Given the tone of the
content of the immediately
preceding emails referring
to the witnesses' positions,
in reply to the
notifications issued by the
Magistrate of the Portimao
Public Ministry to
participate in the penal
diligence of the
reconstruction of the events
that occurred in Praia da
Luz on the night of 3rd May
2007, on this date I open
the conclusion of the
current inquiry.
Portimao, 26th May 2008.
Signed
Inspector
Ricardo Paiva |
|
4345 Letter from
Matthew Oldfield indicating
he will not attend
2008.05.23 |
|
16 Processo Vol
16 Page 4345 |
|
16_VOLUME_XVIa_Page_4345 |
 |
Table of
Contents : Processo Vol 16..(PDF page 214)....Page 4345-"Letter
from Matthew Oldfield indicating he will not attend 2008.05.23"
Vol 16 Page 4345 (Page 1 of 1)
2x Suxxxxxxxx Gaxxxxx
London
SW xx 8xx
Date 23rd May 2008
Maria Luisa Nascimento Duarte
Ministerio Publico de Portimao
Av. Miguel Bombarda
Palacio da Justica
no 2 Piso
8501-960 Portimao
Reference : 3951283
Dear Sir,
I write with reference to the Notification dated 9th May 2008,
which I received on Saturday 17th may 2008.
I am hereby informing you that I will not be attending the
proposed Reconstruction in Portugal on 29th and 30th May 2008. I
have reached this decision after considering advice from our
Lawyers.
Yours faithfully,
Matthew David Oldfield |
|
4346 Email from
Rachel Oldfield 2008.05.23 |
|
16
Processo Vol 16 Page 4346 |
|
16_VOLUME_XVIa_Page_4346 |
 |
Table of
Contents : Processo Vol 16..(PDF page 215)....Page 4346-"Email
from Rachel Oldfield 2008.05.23"
Vol 16 Page 4346 (Page 1 of 1)
Servicos do Ministerio Publico de Portimao
From : Rachael Oldfield ( rachaeloldfield@xxxxx.com
)
Date : 23rd May 2008 11.39 a.m.
To : Servicos do Ministerio Publico de Portimao
Subject : Letters of response to Summons. Ref 3951282
Annexes : Reply (Matt) to Summons 21st May 2008 doc ; Reply
(Rachael) to PJ Summons 21st May 2008.doc
((Two attachments of replies from : a) (Matt) to PJ Summons
21st...., and b) Reply (Rachael) to PJ Summons...., inserted
here))
Please see attached letters in response to the summons we have
received.
Please acknowledge receipt.
Many thanks. |
|
4347 Copy of page
4346 |
|
16
Processo Vol 16 Page 4347 |
|
16_VOLUME_XVIa_Page_4347 |
 |
Table of
Contents : Processo Vol 16..(PDF page 216)....Page 4347-"Copy of
page 4346"
Vol 16 Page 4347 (Page 1 of 1)
Servicos do Ministerio Publico de Portimao
From : Rachael Oldfield (
rachaeloldfield@xxxxx.com
)
Date : 23rd May 2008 11.39 a.m.
To : Servicos do Ministerio Publico de Portimao
Subject : Letters of response to Summons. Ref 3951282
Annexes : Reply (Matt) to Summons 21st May 2008 doc ; Reply
(Rachael) to PJ Summons 21st May 2008.doc
((Two attachments of replies from : a) (Matt) to PJ Summons
21st...., and b) Reply (Rachael) to PJ Summons...., inserted
here))
Please see attached letters in response to the summons we have
received.
Please acknowledge receipt.
Many thanks. |
|
4348 Letter from
Rachel Oldfield she will not
attend 2008.05.23 |
|
16 Processo Vol
16 Page 4348 |
|
16_VOLUME_XVIa_Page_4348 |
 |
Table of
Contents : Processo Vol 16...(PDF page 217)....Page 4348-"Letter
from Rachel Oldfield she will not attend 2008.05.23"
Vol 16 Page 4348 (Page 1 of 1)
2x Suxxxxxxxx Gaxxxxx
London
SW xx 8xx
Date 23rd May 2008
Maria Luisa Nascimento Duarte
Ministerio Publico de Portimao
Av. Miguel Bombarda
Palacio da Justica
no 2 Piso
8501-960 Portimao
Reference : 3951283
Dear Sir,
I write with reference to the Notification dated 9th May 2008,
which I received on Saturday 17th May 2008.
I am hereby informing you that I will not be attending the
proposed Reconstruction in Portugal on 29th and 30th May 2008. I
have reached this decision after considering advice from our
Lawyers.
Yours faithfully,
Rachael Marimma Jean Mampilly |
|
4354 Email from
Rebelo to Prior re:
Prosecutor Decision |
|
16 - Processo
Vol 16 Page 4354 |
|
16_VOLUME_XVIa_Page_4354 |
 |
able of
Contents : Processo Vol 16..(PDF page 223)...Page 4354-"Email
from Rebelo to Prior re: Prosecutor Decision"
Vol 16 Page 4354 (Page 1 of 1)
Paulo Fernando Gaspar Rebelo
From : Paulo Fernando Gaspar Rebelo.
Date : 27th May 2008 10.25 a.m.
To : "Prior Stuart"
Subject : Re-enactment cancelation
(( Inserted here is an attachment labelled : Anulacao da
reconstituticao.doc....))
Dear Stuart :
As agreed, here I send the Prosecutor's decision regarding the
re-enactment cancelation. In a few words, it says that due the
absence of the witnesses Matthew Oldfield, Rachael Mampilly,
Russell O'Brien and Jane Tanner, there are no conditions to
perform the diligence.
I kindly request you to urgently transmit this decision to each
one of the witnesses (Matthew, Rachael, Russell, Jane, Dianne,
David, Fiona and Jeremy).
Thank you, again, for your cooperation.
Best regards
Paulo Rebelo
CSIC |
|
4355
- Documentation re reconstruction Tapas 9 |
|
16 Processos Vol XVI Page 4355 |
|
16_VOLUME_XVIa_Page_4355 |
 |
Prosecutor of the Republic
Portimao Circuit
CONCLUSION on 26-5-2008
As referred to by the despatch that ordered the Reconstruction,
in spite of this being considered a very important diligence for
the investigation, it would only take place if the witnesses who
were notified were present as well as the arguidos who had
expressed their availability to participate. The witnesses
Russell O'Brien, Jane Tanner, Matthew Oldfield and Rachel
Mampilly have informed the process that they will not attend,
therefore the reconstruction has no sense.
The notification of the arguidos Gerald and Kate was done by
means of their legal representatives and notification of the
witnesses David Payne, Fiona Payne, Dianne Webster, Russell
O'Brien, Jane Tanner, Matthew Oldfield, Rachel Mampilly and
Jeremy Wilkins was done with the collaboration of the UK police
upon the request of the PJ.
Taking into account that the PJ is available to begin to
translate the Letter or request, but also having a large
quantity of documents to translate, and as part of the Letter of
Request has already been delivered for translation, the
statements of Amanda Coxon, Michael Wright, Linda McQueen,
Justine McGuinness, Peter Patterson, Michelle Thompson, Emma
Knights, Kenneth Walden, Carole Tranmer and Nicky remain to be
translated. |
|
4419 Letter from
Paynes re: non-attendance at
reconstruction (English) |
|
17 Processo
VOLUME XVIa. page 4419 |
|
17_VOLUME_XVIIa_Page_4419 |
 |
Table of Contents : Processo Vol 17...(PDF page
6)....Page 4419- "Letter from
Paynes re: non-attendance at reconstruction"
Vol 17 Page 4419 (Page 1 of 1)
Fiona and David Payne
xx Knxxxxxx Chxxxx Roxx
Leicester
UK
LEx 3xx
Servicos do Ministerio Publico de Portimao
Av Miguel Bombarda
Palacio da Justica
2 Piso
8501-960 Portimao
22nd May 2008
Dear Maria Luisa,
We are in receipt of your letter dated 9th May
2008 Ref 3951281
Following great consideration, we regret to
inform you that we do not wish to attend the
proposed re-enactment in Portugal.
Kind Regards
Yours sincerely
Fiona and David Payne |
|
|
139 Letter from
R. Alves regarding K. McCann's willingness to participate in the
reconstruction |
|
09 01 Apensos
IX Vol I Page 139 |
|
o_apensoIX_vol_1_Page_139 |
 |
Public Ministry of Portimao
Case Section
Case 201/07 GALGS
Dear Sir
Public prosecutor
Kate Marie Healy arguida in the case referred to above, having
been notified (page 3947) expresses her availability to
participate in the reconstruction of the events on the second of
the dates suggested, in other words on the 15 and 16th of next
May. Her husband, Gerry McCann has also already expressed his
availability.
Rogerio Alves
Lawyer
(Sent by email)
|
|