OFFICIAL INQUIRY FILES and DOCUMENTS
VODAFONE INFORMATION

This information belongs to the Ministério Público in Portimão, Portugal.
It was released to the public on 4 August 2008 in accordance with Portuguese Law

1265 - Letter to Amaral regarding investigation thus far on Robert Murat 2007.05.15

Processos Vol V Page 1265
Robert Murat

1266 to 1268 - Request for interception and call detail of phones owned by M. Walzuch and R. Murat

Processos Vol V Page 1266
Robert Murat
1267
Processos Vol V Page 1267
Robert Murat
1268
Processos Vol V Page 1268
Robert Murat

1311 to 1314 -  Letters re: tap on telephone no. ****** 2007.05.15

Processos Vol V Page 1311
Robert Murat
1312
Processos Vol V Page 1312
Robert Murat
1313
Processos Vol VPage 1313
Robert Murat
1314
Processos Vol V Page 1314
Robert Murat
1413  Letter fro PJ official regarding Vodafone requests
1414 Letter from Vodafone regarding request- Specific List of calls made on Vodafone mobile
1415 Letter from PJ official regarding TMN requests
06-Processo 6 page 1413 to 1415
06_VOLUME_VIa_Page_1413 06_VOLUME_VIa_Page_1414 06_VOLUME_VIa_Page_1415
1416 Letter from TMN regarding request with response from PJ
1417 to 1427 Letters back and forth between Vodafone and PJ re: requests
06-Processo 6 page 1416 to 1427
06_VOLUME_VIa_Page_1416 06_VOLUME_VIa_Page_1417 06_VOLUME_VIa_Page_1418
06_VOLUME_VIa_Page_1419 06_VOLUME_VIa_Page_1420 06_VOLUME_VIa_Page_1421
06_VOLUME_VIa_Page_1422 06_VOLUME_VIa_Page_1423 06_VOLUME_VIa_Page_1424
06_VOLUME_VIa_Page_1425 06_VOLUME_VIa_Page_1426 06_VOLUME_VIa_Page_1427
1435 Letter from Vodafone
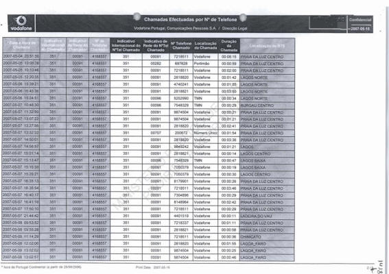
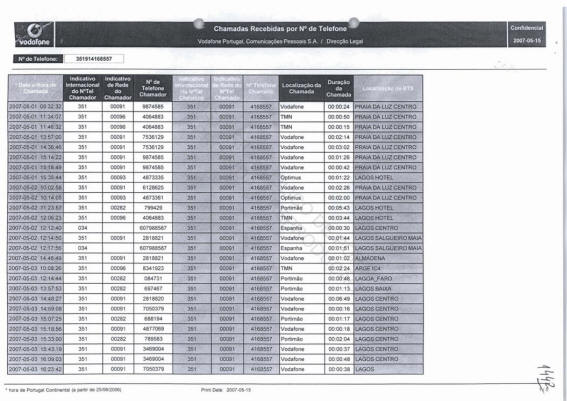
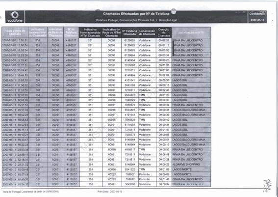
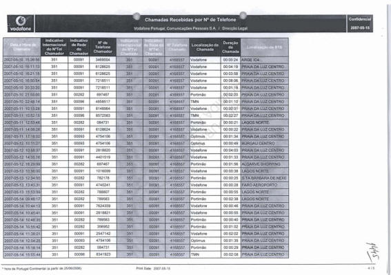
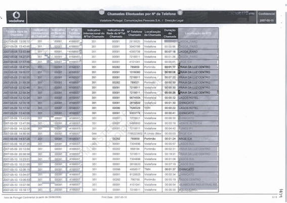
1436 to 1452 List of calls made on a Vodafone number
1482 Remit of List of Vodafone IMEIS
1483 Letter from Vodafone re: IMEIS with list
06-Processo 6 page  1435 to 1452  1482 to 1483
  06_VOLUME_VIa_Page_1435 06_VOLUME_VIa_Page_1436
 
06_VOLUME_VIa_Page_1437 06_VOLUME_VIa_Page_1438 06_VOLUME_VIa_Page_1439
06_VOLUME_VIa_Page_1440 06_VOLUME_VIa_Page_1441 06_VOLUME_VIa_Page_1442
06_VOLUME_VIa_Page_1443 06_VOLUME_VIa_Page_1444 06_VOLUME_VIa_Page_1445
06_VOLUME_VIa_Page_1446 06_VOLUME_VIa_Page_1447 06_VOLUME_VIa_Page_1448
06_VOLUME_VIa_Page_1449 06_VOLUME_VIa_Page_1450 06_VOLUME_VIa_Page_1451
06_VOLUME_VIa_Page_1452 06_VOLUME_VIa_Page_1482 06_VOLUME_VIa_Page_1453
1517 Letter from PT regarding interception of mobile calls
TRANSLATED BY INES
Processos Vol VI Page 1517
06_VOLUME_VIa_Page_1517

From PT Communications


To: Policia Judiciaria
Lisbon

Your Communication dated 15.05-2007

Date: 18-05-2007

Subject: Register of calls received and made

Dear Sirs,

In relation to the letter in reference we are sending a list of calls in electronic format invoiced by the PT network and received during the period 01-05-2007 to 15-05-2007 of the interceptions referring to Process 201/07. Galgs of 15-05-2007 from the Portimao Family Court.


With compliments

The Director of the Legal office

PT Communications

1518 Letter from Vodafone regarding receipt of calls to defined mobile numbers
TRANSLATED BY INES
Processos Vol VI Page 1518
06_VOLUME_VIa_Page_1518

From Vodaphone


To: The Director of the Portimao PJ
Portimao



Date: 18-05-2007

Subject: Process n| 201/07.0 Galgs
(Letter n| S/N dated 14-05-2007)


Dear Sir,


With reference to the letter n| R1 from the Portimao Family Court dated 18-05-2007, we are sending a diskette with the calls made and received by the telephone numbers 911948359, 914168557, 918224078 and 919782964 as requested by the instruction judge.

We inform you that the files are sent in duplicate, as one of the copies is password protected in order to guarantee the security of the information made available.

With compliments.


Legal Assistant
Legal department
Vodaphone

1525 Letter from PJ regarding interception of calls received from mobile phone
TRANSLATED BY INES
Processos Vol VI Page 1525
06_VOLUME_VIa_Page_1525

Policia Judiciaria
4th Brigade
Inspector Joao Carlos


Report on Initiation of Telephone Interception and Recording

On the 18th May 2007, the PJ, Portimao DIC and the Telecommunications Services of the PJ proceeded to intercept the mobile phone number 919782964 by means of the operator Portugal Telecom in accordance with the legal dispatch included in the present investigation files.

The Paragon system was activated, located in the installations of this police force and given the code Alvo 33031M registering the conversations in digital format, which are identified by number and code.

The present report was drawn up and will be signed.

1526 Letter from PJ re: TMN mobile phone results
1527 TMN letter to PJ
TRANSLATED BY INES
Processos Vol VI Page 1526 to 1527
06_VOLUME_VIa_Page_1526

06_VOLUME_VIa_Page_1527


Policia Judiciaria
National Directorate


To: The Coordinator of the Criminal Investigation
Dr Amaral
Portimao PJ

Date: 16-05-2007

Subject: NUIPC: 201/01.0 GALGS – Initiation of Interception

I enclose a letter received from TMN relating to the interception authorised in the scope of the case mentioned above, whose investigation is under the responsibility of Inspector Joao Carlos, the code 1L829M corresponding to the number 960147559.

With compliments

Area Chief Freitas

Processos Vol VI Page 1527
From TMN

To: The National Director of the Policia Judiciaria
Date: 15-05-2007
Dear Sir,
I inform you that on 15-05-2007 at 20.50 in compliance with your communication ref 1L829m the respective dialback was initiated.
This dialback corresponds to our reference 2155/2007.
With compliments

1532 PJ request for further information on identified telephone numbers
Processos Vol VI Page 1532
JOAO GONCALVES VIEGAS JACINTO
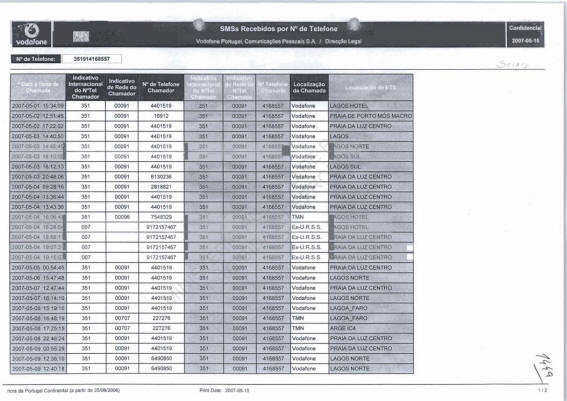
1533 to 1535   Vodafone letter to PJ re: Jennifer Murats SIM with list of calls made/received
Processos Vol VI  Pages 1533 to 1535
JENNIFER MURAT
1536 Letter from PJ regarding telephone number
1537 to 1539 Correspondence to/from PJ and TMN
THANKS TO INES
06-Processo 6 page 1536 to 1539
06_VOLUME_VIa_Page_1536

Processos Vol VI Page 1536
Policia Judiciaria

To: The Director
Uzo Client Services
Lisbon

Reference: NUIPC 201/01.0 Galgs
4th Brigade
Inspector J. Carlos


Date: 22nd May 2007


Subject: Information about SIM card

As it is necessary to the investigation mentioned above, I request that you inform this police force urgently which is the mobile number associated with UZO SIM card nş 8951 06000 01704 88314000.

Given its urgency, this same request has already been made to your services via Fax on 21st May 2007.

With compliments

The Coordinator of the Criminal Investigation

G. Amaral

06_VOLUME_VIa_Page_1537
06_VOLUME_VIa_Page_1538
06_VOLUME_VIa_Page_1539

Processos Vol VI Page 1537

From TMN


To: Policia Judiciaria
Portimao


Ref: DJAR/12291/2007/SC


Date: Lisbon, 22nd May 2007


Subject: Letter nş R3 of 18-05-2007 referring to Case 201-07 Galgs


Dear Sirs,


Confirming receipt of the letter mentioned above, we inform you that TMN proceeded to send the information requested, in magnetic format, by means of the letters with reference SGC/11589/2007/SC on 14-05-2007 and SGC/11844/2007/SM on 16-05-2007, according to the copies attached.

But we inform you that the magentic formats were collected in person from the TMN offices by an officer from the PJ Telecommunications Department.

With compliments,


Legal Division

1545 to 1555 Documentation between PJ and TMN, Vodafone
06-Processo 6 page 1545 to 1555
06_VOLUME_VIa_Page_1545 06_VOLUME_VIa_Page_1546

06_VOLUME_VIa_Page_1547

06_VOLUME_VIa_Page_1548

06_VOLUME_VIa_Page_1549

06_VOLUME_VIa_Page_1550

06_VOLUME_VIa_Page_1551 06_VOLUME_VIa_Page_1552 06_VOLUME_VIa_Page_1554

06_VOLUME_VIa_Page_1553 06_VOLUME_VIa_Page_1555
1556 to 1575 Further documentation regarding mobile phone usage
06-Processo 6 page 1556 to 1575
06_VOLUME_VIa_Page_1556 06_VOLUME_VIa_Page_1557 06_VOLUME_VIa_Page_1558
06_VOLUME_VIa_Page_1559 06_VOLUME_VIa_Page_1560 06_VOLUME_VIa_Page_1561
06_VOLUME_VIa_Page_1562 06_VOLUME_VIa_Page_1563 06_VOLUME_VIa_Page_1564
06_VOLUME_VIa_Page_1565 06_VOLUME_VIa_Page_1566 06_VOLUME_VIa_Page_1567
06_VOLUME_VIa_Page_1568 06_VOLUME_VIa_Page_1569 06_VOLUME_VIa_Page_1570
06_VOLUME_VIa_Page_1571 06_VOLUME_VIa_Page_1572 06_VOLUME_VIa_Page_1573
1597 to 1602 Information from Portugal Telecom regarding phone number
1604 to 1605 Letter regarding IMEI information and interception
06-Processo 6 page 1597 to 1602
06-Processo 6 page 1604 to 1605
06_VOLUME_VIa_Page_1574 06_VOLUME_VIa_Page_1575 06_VOLUME_VIa_Page_1597
06_VOLUME_VIa_Page_1598 06_VOLUME_VIa_Page_1599 06_VOLUME_VIa_Page_1600
06_VOLUME_VIa_Page_1601 06_VOLUME_VIa_Page_1602 06_VOLUME_VIa_Page_1604
1625 to 1626 PJ/Vodafone correspondence
1627 to 1628 PJ/PT Telecom correspondence
06-Processo 6 page 1625 to 1628
06_VOLUME_VIa_Page_1605 06_VOLUME_VIa_Page_1625 06_VOLUME_VIa_Page_1626
06_VOLUME_VIa_Page_1627 06_VOLUME_VIa_Page_1628 06_VOLUME_VIa_Page_1631
1631 to 1649 Internal PJ letter & correspondence regarding trace-back of mobile phone(s)

06-Processo 6 page 1631 to 1649

06_VOLUME_VIa_Page_1632 06_VOLUME_VIa_Page_1633 & a 06_VOLUME_VIa_Page_1634
06_VOLUME_VIa_Page_1635 06_VOLUME_VIa_Page_1636 & a 06_VOLUME_VIa_Page_1637
06_VOLUME_VIa_Page_1638 06_VOLUME_VIa_Page_1639 06_VOLUME_VIa_Page_1640
06_VOLUME_VIa_Page_1641 06_VOLUME_VIa_Page_1642 06_VOLUME_VIa_Page_1643
06_VOLUME_VIa_Page_1644 06_VOLUME_VIa_Page_1645 06_VOLUME_VIa_Page_1646
06_VOLUME_VIa_Page_1647 06_VOLUME_VIa_Page_1648 06_VOLUME_VIa_Page_1649
2440 to 2441 - Letter to Dr. Amaral re: TMN's reponse
TRANSLATED BY INES
Processos Vol IX Page 2440
09_VOLUME_IXa_Page_2400
09_VOLUME_IXa_Page_2401

Ministry of Justice
Policia Judiciaria

National Directorate


To: The Coordinator of the Criminal Investigation
Dr Gonçalo Amaral
Portimao PJ


Date: 06-08-2007




Subject: NUIPC 201/07.0 GALGS Initiation of Interception


I enclose a letter received from TMN relating to the interception authorised within the scope of the inquiry mentioned above, the investigation of which is under the responsibility of Inspector Joao Carlos, the code 1L772piE corresponding to IMEI 35605700832929.


Signed

Area Chief

 

CESSATION OF TELEPHONE INTERCEPTION REPORTS

1727 - Stoppage of interception for telephone no. ******* on 2007.06.13
TRANSLATED BY INES
Processos Vol VII Page 1727
07_VOLUME_VI1a_Page_1727

Policia Judiciaria
4th Brigade
Inspector Joao Carlos


Report of Cessation of Telephone Interception


On 13th June 2007 the Policia Judiciaria – Portimao DIC and the PJ Telecommunications Services proceeded to cease the interception of the mobile number 913687518 (target 1L77OM) in accordance with the legal dispatch contained in the investigation process files.

This report will duly be signed.

Signature

1728 - Stoppage of interception for telephone no. ******** on 2007.06.13
Processos Vol VII Page 1728
07_VOLUME_VI1a_Page_1728

Policia Judiciaria
4th Brigade
Inspector Joao Carlos


Report of Cessation of Telephone Interception


On 13th June 2007 the Policia Judiciaria – Portimao DIC and the PJ Telecommunications Services proceeded to cease the interception of the IMEI with number 357386001191490 (target 1L77OIE) in accordance with the legal dispatch contained in the investigation process files.

This report will duly be signed.

Signature

1729 - Stoppage of interception for telephone no. ******* on 2007.06.12
Processos Vol VII Page 1729
07_VOLUME_VI1a_Page_1729


Policia Judiciaria
4th Brigade
Inspector Joao Carlos


Report of Cessation of Telephone Interception


On 12th June 2007 the Policia Judiciaria – Portimao DIC and the PJ Telecommunications Services proceeded to cease the interception of the IMEI with number 35397301994898 (target 1L77PI1E) in accordance with the legal dispatch contained in the investigation process files.

This report will duly be signed.

Signature

1730 - Stoppage of interception for telephone no. ******* on 2007.05.29
Processos Vol VII Page 1730
07_VOLUME_VI1a_Page_1730

Policia Judiciaria
4th Brigade
Inspector Joao Carlos


Report of Cessation of Telephone Interception


On 29th May 2007 the Policia Judiciaria – Portimao DIC and the PJ Telecommunications Services proceeded to cease the interception of the IMEI with number 35342701609548 (target 1L77PI1E) in accordance with the legal dispatch contained in the investigation process files.

This report will duly be signed.

Signature

1731 - Stoppage of interception for telephone no. ******* 12 June 2007
Processos Vol VII Page 1731
07_VOLUME_VI1a_Page_1731

Policia Judiciaria
4th Brigade
Inspector Joao Carlos


Report of Cessation of Telephone Interception


On 12th June 2007 the Policia Judiciaria – Portimao DIC and the PJ Telecommunications Services proceeded to cease the interception of the mobile number 919881959 (target 1L771PM) in accordance with the legal dispatch contained in the investigation process files.

This report will duly be signed.

Signature

1732 - Stoppage of interception for telephone with IMEI no. ****** 2007.05.29
Processos Vol VII Page 1732
07_VOLUME_VI1a_Page_1732

Policia Judiciaria
4th Brigade
Inspector Joao Carlos


Report of Cessation of Telephone Interception

On 29th May 2007 the Policia Judiciaria – Portimao DIC and the PJ Telecommunications Services proceeded to cease the interception of the IMEI with number 35605700832929 (target 1L772PIE) in accordance with the legal dispatch contained in the investigation process files.

This report will duly be signed.

Signature

1733 - Stoppage of interception for telephone no. no ******* 2007.06.12
Processos Vol VII Page 1733
07_VOLUME_VI1a_Page_1733

Policia Judiciaria
4th Brigade
Inspector Joao Carlos



Report of Cessation of Telephone Interception


On 12th June 2007 the Policia Judiciaria Portimao DIC and the PJ Telecommunications Services proceeded to cease the interception of the mobile number 919188441 (target 1L772PM) in accordance with the legal dispatch contained in the investigation process files.

This report will duly be signed.

Signature

1734 - Stoppage of interception for telephone with IMEI no. ****** 2007.06.13
Processos Vol VII Page 1734
07_VOLUME_VI1a_Page_1734


Policia Judiciaria
4th Brigade
Inspector Joao Carlos


Report of Cessation of Telephone Interception


On 13th June 2007 the Policia Judiciaria – Portimao DIC and the PJ Telecommunications Services proceeded to cease the interception of the IMEI with number 353648012179090 (target 1L803IE) in accordance with the legal dispatch contained in the investigation process files.

This report will duly be signed.

Signature

1735 - Stoppage of interception for telephone no. ******* 2007.06.13
Processos Vol VII Page 1735
07_VOLUME_VI1a_Page_1735


Policia Judiciaria
4th Brigade
Inspector Joao Carlos


Report of Cessation of Telephone Interception


On 13th June 2007 the Policia Judiciaria Portimao DIC and the PJ Telecommunications Services proceeded to cease the interception of the mobile number 91948359 (target 1L803M) in accordance with the legal dispatch contained in the investigation process files.

This report will duly be signed.

Signature

1736 - Stoppage of interception for telephone no. ****** 2007.06.13
Processos Vol VII Page 1736
07_VOLUME_VI1a_Page_1736


Policia Judiciaria
4th Brigade
Inspector Joao Carlos

Report of Cessation of Telephone Interception

On 13th June 2007 the Policia Judiciaria Portimao DIC and the PJ Telecommunications Services proceeded to cease the interception of the mobile number 914168557 (target 1L804M) in accordance with the legal dispatch contained in the investigation process files.

This report will duly be signed.

Signature

1737 - Stoppage of interception for telephone with IMEI no. ******* 2007.06.13
Processos Vol VII Page 1737
07_VOLUME_VI1a_Page_1737

Policia Judiciaria
4th Brigade
Inspector Joao Carlos


Report of Cessation of Telephone Interception


On 13th June 2007 the Policia Judiciaria – Portimao DIC and the PJ Telecommunications Services proceeded to cease the interception of the IMEI with number 354320003673900 (target 1L805IE) in accordance with the legal dispatch contained in the investigation process files.

This report will duly be signed.

Signature

1738 - Stoppage of interception for telephone no. ******* 2007.06.13
Processos Vol VII Page 1738
07_VOLUME_VI1a_Page_1738


Policia Judiciaria
4th Brigade
Inspector Joao Carlos

Report of Cessation of Telephone Interception

On 13th June 2007 the Policia Judiciaria Portimao DIC and the PJ Telecommunications Services proceeded to cease the interception of the mobile number 918224078 (target 1L805M) in accordance with the legal dispatch contained in the investigation process files.

This report will duly be signed.

Signature

1739 - Stoppage of interception for telephone no. ****** 2007.06.14
Processos Vol VII Page 1739
07_VOLUME_VI1a_Page_1739

Policia Judiciaria
4th Brigade
Inspector Joao Carlos

Report of Cessation of Telephone Interception

On 14th June 2007 the Policia Judiciaria Portimao DIC and the PJ Telecommunications Services proceeded to cease the interception of the fixed telephone number 282760189 (target 1L826) in accordance with the legal dispatch contained in the investigation process files.

This report will duly be signed.

Signature

1740 - Stoppage of interception for telephone no. no ******* 2007.06.14
Processos Vol VII Page 1740
07_VOLUME_VI1a_Page_1740


Policia Judiciaria
4th Brigade
Inspector Joao Carlos

Report of Cessation of Telephone Interception

On 14th June 2007 the Policia Judiciaria Portimao DIC and the PJ Telecommunications Services proceeded to cease the interception of the fixed telephone number 282788816 (target 1L827) in accordance with the legal dispatch contained in the investigation process files.

This report will duly be signed.

Signature

1741 - Stoppage of interception for telephone no. ******* 2007.06.14
Processos Vol VII Page 1741
07_VOLUME_VI1a_Page_1741


Policia Judiciaria
4th Brigade
Inspector Joao Carlos

Report of Cessation of Telephone Interception

On 14th June 2007 the Policia Judiciaria Portimao DIC and the PJ Telecommunications Services proceeded to cease the interception of the fixed telephone number 282788807 (target 1L828) in accordance with the legal dispatch contained in the investigation process files.

This report will duly be signed.

Signature

1742 - Stoppage of interception for telephone no. IMEI no. ******** 2007.06.14
Processos Vol VII Page 1742
07_VOLUME_VI1a_Page_1742

Policia Judiciaria
4th Brigade
Inspector Joao Carlos


Report of Cessation of Telephone Interception


On 14th June 2007 the Policia Judiciaria – Portimao DIC and the PJ Telecommunications Services proceeded to cease the interception of the IMEI with number 35342701609548 (target 1L829IE) in accordance with the legal dispatch contained in the investigation process files.

This report will duly be signed.

Signature

1743 - Stoppage of interception for telephone no. ******* 2007.06.14
Processos Vol VII Page 1743
07_VOLUME_VI1a_Page_1743


Policia Judiciaria
4th Brigade
Inspector Joao Carlos

Report of Cessation of Telephone Interception


On 14th June 2007 the Policia Judiciaria Portimao DIC and the PJ Telecommunications Services proceeded to cease the interception of the mobile number 960147559 (target 1L829M) in accordance with the legal dispatch contained in the investigation process files.

This report will duly be signed.

Signature

1744 - Stoppage of interception for IMEI no. ******** 2007.06.17
Processos Vol VII Page 1744
07_VOLUME_VI1a_Page_1744

Policia Judiciaria
4th Brigade
Inspector Joao Carlos


Report of Cessation of Telephone Interception

On 17th June 2007 the Policia Judiciaria – Portimao DIC and the PJ Telecommunications Services proceeded to cease the interception of the IMEI with number 350263005059850 (target 33031IE) in accordance with the legal dispatch contained in the investigation process files.

This report will duly be signed.

Signature

1745 - Stoppage of interception for telephone no. ******* 2007.06.17
Processos Vol VII Page 1745
07_VOLUME_VI1a_Page_1745


Policia Judiciaria
4th Brigade
Inspector Joao Carlos

Report of Cessation of Telephone Interception

On 17th June 2007 the Policia Judiciaria Portimao DIC and the PJ Telecommunications Services proceeded to cease the interception of the mobile number 919782964 (target 33031M) in accordance with the legal dispatch contained in the investigation process files.

This report will duly be signed.

Signature

1746 - Stoppage of interception for telephone no. no ******* 2007.06.18
Processos Vol VII Page 1746
07_VOLUME_VI1a_Page_1746

Policia Judiciaria
4th Brigade
Inspector Joao Carlos

Report of Cessation of Telephone Interception

On 18th June 2007 the Policia Judiciaria Portimao DIC and the PJ Telecommunications Services proceeded to cease the interception of the fixed telephone number 282762811 (target 33030) in accordance with the legal dispatch contained in the investigation process files.

This report will duly be signed.

Signature

1978 - Stoppage of interception of telephone no. IMEI ****** 2007.07.20
Processos Vol VIII Page 1978
08_VOLUME_VIIIa_Page_1978

Policia Judiciaria
4th Brigade
Inspector Joao Carlos


Report of Cessation of Telephone Interception


On 20th July 2007 the Policia Judiciaria – Portimao DIC and the PJ Telecommunications Services proceeded to cease the interception of the target with number 1L771PI1E (IMEI 35397301994898) in accordance with the legal dispatch contained in the investigation process files.

This report will duly be signed.

Signature

1979 - Stoppage of interception of telephone no. 1L771PM (*****) 2007.07.20
Processos Vol VIII Page 1979
08_VOLUME_VIIIa_Page_1979

Policia Judiciaria
4th Brigade
Inspector Joao Carlos


Report of Cessation of Telephone Interception


On 20th July 2007 the Policia Judiciaria – Portimao DIC and the PJ Telecommunications Services proceeded to cease the interception of the target with number 1L771PM (919881959) in accordance with the legal dispatch contained in the investigation process files.

This report will duly be signed.

Signature

1980 - Stoppage of interception of telephone 1L772PIE (IMU
***** 2007.07.20
Processos Vol VIII Page 1980
08_VOLUME_VIIIa_Page_1980

Policia Judiciaria
4th Brigade
Inspector Joao Carlos


Report of Cessation of Telephone Interception


On 20th July 2007 the Policia Judiciaria – Portimao DIC and the PJ Telecommunications Services proceeded to cease the interception of the target with number 1L772PIE (IMEI 35605700832929) in accordance with the legal dispatch contained in the investigation process files.

This report will duly be signed.

Signature

1981 - Stoppage of interception of telephone lL772PY (******) 2007.07.20
Processos Vol VIII Page 1981
08_VOLUME_VIIIa_Page_1981

Policia Judiciaria
4th Brigade
Inspector Joao Carlos


Report of Cessation of Telephone Interception


On 20th July 2007 the Policia Judiciaria – Portimao DIC and the PJ Telecommunications Services proceeded to cease the interception of the target with number 1L772PM (919188441) in accordance with the legal dispatch contained in the investigation process files.

This report will duly be signed.

Signature

1982 - Stoppage of interception of telephone 11804IE (IMEI
*******) 2007.07.20
Processos Vol VIII Page 1982
08_VOLUME_VIIIa_Page_1982

Policia Judiciaria
4th Brigade
Inspector Joao Carlos


Report of Cessation of Telephone Interception


On 20th July 2007 the Policia Judiciaria – Portimao DIC and the PJ Telecommunications Services proceeded to cease the interception of the target with number 1L804IE (IMEI 357390006078650) in accordance with the legal dispatch contained in the investigation process files.

This report will duly be signed.

Signature

1983 - Stoppage of interception of telephone 1L804M (******) 2007.07.20
Processos Vol VIII Page 1983
08_VOLUME_VIIIa_Page_1983

Policia Judiciaria
4th Brigade
Inspector Joao Carlos


Report of Cessation of Telephone Interception


On 20th July 2007 the Policia Judiciaria – Portimao DIC and the PJ Telecommunications Services proceeded to cease the interception of the target with number 1L804M (914168557) in accordance with the legal dispatch contained in the investigation process files.

This report will duly be signed.

Signature

1984 - Stoppage of interception of telephone 11827 (*****) 2007.07.20
Processos Vol VIII Page 1984
08_VOLUME_VIIIa_Page_1984

Policia Judiciaria
4th Brigade
Inspector Joao Carlos

Report of Cessation of Telephone Interception


On 20th July 2007 the Policia Judiciaria – Portimao DIC and the PJ Telecommunications Services proceeded to cease the interception of the target with number 1L827 (282788816) in accordance with the legal dispatch contained in the investigation process files.

This report will duly be signed.

Signature

1985 - Stoppage of interception of telephone no. 1L829IE ( *****) 2007.07.20
Processos Vol VIII Page 1985
08_VOLUME_VIIIa_Page_1985

Policia Judiciaria
4th Brigade
Inspector Joao Carlos


Report of Cessation of Telephone Interception


On 20th July 2007 the Policia Judiciaria – Portimao DIC and the PJ Telecommunications Services proceeded to cease the interception of the target with number 1L8291E (IMEI 35342701609548) in accordance with the legal dispatch contained in the investigation process files.

This report will duly be signed.

Signature

1986 - Stoppage of interception of telephone no. lL829M (*****).
Processos Vol VIII Page 1986
08_VOLUME_VIIIa_Page_1986

Policia Judiciaria
4th Brigade
Inspector Joao Carlos


Report of Cessation of Telephone Interception


On 20th July 2007 the Policia Judiciaria – Portimao DIC and the PJ Telecommunications Services proceeded to cease the interception of the target with number 1L829M (960147559) in accordance with the legal dispatch contained in the investigation process files.

This report will duly be signed.

Signature

1987 - Stoppage of interception of telephone no. 33365IE (IMEI
******) 2007.07.20
Processos Vol VIII Page 1987
08_VOLUME_VIIIa_Page_1987

Policia Judiciaria
4th Brigade
Inspector Joao Carlos


Report of Cessation of Telephone Interception


On 20th July 2007 the Policia Judiciaria – Portimao DIC and the PJ Telecommunications Services proceeded to cease the interception of the target with number 33651E (IMEI 35640401964109) in accordance with the legal dispatch contained in the investigation process files.

This report will duly be signed.

Signature

1988 - Stoppage of interception of telephone no. 33365M ((*****
2007.07.20
Processos Vol VIII Page 1988
08_VOLUME_VIIIa_Page_1988

Policia Judiciaria
4th Brigade
Inspector Joao Carlos


Report of Cessation of Telephone Interception


On 20th July 2007 the Policia Judiciaria – Portimao DIC and the PJ Telecommunications Services proceeded to cease the interception of the target with number 3365M (969515666) in accordance with the legal dispatch contained in the investigation process files.

This report will duly be signed.

Signature

2442 - Stoppage of telephone interception for no. IMEI com o no ******** (1L772PIE) 2007.08.18
Processos Vol IX Page 2442
09_VOLUME_IXa_Page_2442

Policia Judiciaria
4th Brigade
Inspector Joao Carlos


Report of Cessation of Telephone Interception


On 18th August 2007 the Policia Judiciaria – Portimao DIC and the PJ Telecommunications Services proceeded to cease the interception of the IMEI with number 35605700832929 in accordance with the legal dispatch contained in the investigation process files.

This report will duly be signed.

Signature

2443 - Stoppage of telephone interception for no. ******* (lL827) 2007.08.188
Processos Vol IX Page 2443
09_VOLUME_IXa_Page_2443

Policia Judiciaria
4th Brigade
Inspector Joao Carlos

Report of Cessation of Telephone Interception

On 19th August 2007 the Policia Judiciaria Portimao DIC and the PJ Telecommunications Services proceeded to cease the interception of the telephone number 282788816 (target IL827) in accordance with the legal dispatch contained in the investigation process files.

This report will duly be signed.

Signature

2444 - Stoppage of telephone interception for ****** (33822M) 2007.08.18
Processos Vol IX Page 2444
09_VOLUME_IXa_Page_2444


Policia Judiciaria
4th Brigade
Inspector Joao Carlos

Report of Cessation of Telephone Interception

On 18th August 2007 the Policia Judiciaria Portimao DIC and the PJ Telecommunications Services proceeded to cease the interception of the mobile number 919188441 (target 33822M) in accordance with the legal dispatch contained in the investigation process files.

This report will duly be signed.

Signature

2445 - Stoppage of telephone interception for ********* (33823E) 2007.08.18
Processos Vol IX Page 2445
09_VOLUME_IXa_Page_2445


Policia Judiciaria
4th Brigade
Inspector Joao Carlos


Report of Cessation of Telephone Interception


On 18th August 2007 the Policia Judiciaria Portimao DIC and the PJ Telecommunications Services proceeded to cease the interception of the IMEI with number 35605700832929 (target 33823E) in accordance with the legal dispatch contained in the investigation process files.

This report will duly be signed.

Signature

2446 - Stoppage of telephone interception for ******** (33824E) 2007.08.18
Processos Vol IX Page 2446
09_VOLUME_IXa_Page_2446


Policia Judiciaria
4th Brigade
Inspector Joao Carlos


Report of Cessation of Telephone Interception


On 18th August 2007 the Policia Judiciaria Portimao DIC and the PJ Telecommunications Services proceeded to cease the interception of the IMEI with number 35605700832929 (target 33824E) in accordance with the legal dispatch contained in the investigation process files.

This report will duly be signed.

Signature

TO HELP KEEP THIS SITE ON LINE PLEASE CONSIDER

Site Policy HOME PAGE Contact details